当前位置:MFC金属板材成形网 > 正文

MFC推荐—仿真分析|新能源汽车电池包焊点模拟及挤压分析计算

2019-09-10 14:16:58 来源: CST三交产研
收藏
导读: 电池包作为新能源汽车的核心元件,其结构安全性的保证是新能源汽车在运行过程中必不可少的。本文对某型号电池包进行了挤压分析计算,分析过程中考虑到电池包装配模型的复杂性及 Abaqus/Explicit 模块中单元类型的局限性,采用 C3D8R 单元模拟焊点,避免了刚性单元模拟焊点时局部刚度过大以及严重依赖网格的弊端。


1前言

在高油价和低排放的双重背景下,发展新能源成为了低碳环保节能减排的必然选择,新能源汽车也得到了越来越多的关注。发展新能源汽车已经成为世界各国的共识,中国为实现“到 2020 年单位国内生产总值 CO2 排放比 2005 年下降 40%~ 5%"”的目标和汽车产业 “弯道超车”的历史使命,将其列入七大战略性新兴产业之中。

蓄电池作为混动和纯电动车的动力来源之一,在整车上承担着重要的作用。而电池包壳体则起着保证电池组安全和正常工作的关键作用。为保证电池包系统的正常工作,GB/T中对电池包的挤压性能提出了要求。本分析的目的就是通过计算机仿真的方法检验电池包是否可以满足国标对电池包挤压性能的要求。在动力驱动系统开发早期,对电池包的抗挤压特性进行合理的评估和改进可以减少设计周期,降低风险,保证电池包能满足安全性能的要求,同时保证零件的局部强度性能。

由于电池包里零部件众多,普遍采用的是点焊技术进行结构连接。焊点结构的特殊性对电池包结构强度、刚度均有很大的影响。

目前,主要的焊点处理方式有以下几种:

1) 刚性连接法:该方法是在两个零部件连接部位建立刚性连接单元,可以采用六自由度或三自由度 (只约束平动) 的连接方式,使两个节点在被约束自由度上有相同的位移,这种连接方式会导致局部结构刚度偏大,局部连接区域会产生较明显的应力集中现象。

2)公共节点法:该方法是将不同零部件上对应的节点合并,相邻零部件在点焊处采用同一节点,这种连接方式对模型要求较高,对应节点位置相差不能太远,单元网格的质量要求比较高,且无法模拟焊点断裂的情况。

3)公共单元法:该方法是在点焊连接处建立三维单元来模拟焊点,并把该单元与相邻零部件 Tie 在一起。这种方法处理起来工作量比较大,但是精度较高,力和力矩通过实体单元来进行传递,更加符合实际工况。

2电池包挤压计算模型

电池包的挤压是采用半圆柱体对电池包外壳从 X 方向实施挤压,挤压距离控制在电池包该方向长度的 30%,电池包的有限元模型如图 1 所示。

图 1. 有限元模型图

2.1 边界条件

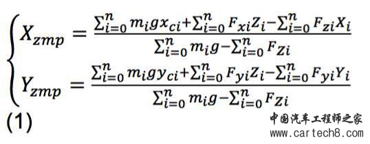
X 方向的挤压模型如图 2 所示,电池包放置于支撑板和挤压板之间,以较小的速度来进行挤压,用准静态来模拟静态受力。考虑到电池包前挤压面与后挤压面之间存在一个高度差,在挤压过程中会产生一个转矩,导致电池包在挤压过程中翻转,并且随着电池包的翻转,高度差会增加,从而产生更大的转矩。因此,需要在电池包翻转初期对其进行控制, 限制住电池包在挤压过程中不符合实际的移动变形。依据 ZMP (zero moment point) 理论[10],电池包所受到的合力 (外力、惯性力、重力) 的延长线的交点称为 ZMP,当 ZMP 位置位于电池包与支撑板接触范围内时,电池包将不会产生翻转。假设接触面的 Z 向位置为 0,且准静态不考虑惯性力,则 ZMP 位置表达式为:

式中

相关阅读: 消息类文章

分享到:

声明: 本网站为冲压和钣金业内信息集合和展示平台,欢迎不同的声音和观点,为行业人士提供参考,文章并不代表MFC的观点。书面刊用本站及MFC《金属板材成形》的原创文章,必须获得MFC的书面授权;电子平台转载,则必须注明作者和出处,对于盗版、冒名和不注明出处等行为以及由此产生的负面后果,MFC保留追究的权利。

我来说两句(共0条评论,0人参与)注册 登录 |

  • 最新评论
    暂无评论

品牌展厅365天全天候线上展厅

推荐专题

  • 一周热点
  • 月点击榜
 

微信公众号

冲压钣金门户

扫描或搜索关注