当前位置:MFC金属板材成形网 > 正文

MFC推荐—一种基于二阶广义积分器的永磁同步电机定子磁链观测方法

2019-10-29 15:57:33 来源: 网络,如有侵权请联系我们!
收藏
导读:

摘要:永磁同步电机的定子磁链观测技术是实现直接转矩控制的基础。传统的电压模型定子磁链观测器中存在着直流偏置、积分饱和等问题,因此本文采用改进的二阶广义积分器(improved second-order generalized integrator, ISOGI)代替电压模型中的纯积分器,进而得到一种改进的基于ISOGI的定子磁链观测器。与传统的电压模型定子磁链观测器相比,该观测器有效提高了定子磁链的观测精度。仿真和实验结果表明基于ISOGI的定子磁链观测器是可行的。

引言

永磁同步电机因其结构简单、维护成本低、效率高等优点而在风力发电、电动汽车驱动等领域得到广泛应用。

永磁同步电机的直接转矩控制实现简单、无需坐标变换,并可以获得快速的动态响应速度,因此在电动汽车驱动领域得到广泛应用。定子磁链观测是实现永磁同步电机直接转矩控制的基础。

现有的永磁同步电机定子磁链观测方案主要分为两大类:(1)基于数学模型的磁链观测方案;(2)基于状态观测器的磁链观测方案。

基于数学模型的磁链观测方案有:电流模型、电压模型和混合模型[1]。电流模型在低转速时性能较好;但对电机参数敏感,其估算磁链的精度建立在电机参数准确的基础上。传统的电压模型是对反电动势直接积分,具有结构简单,对参数依赖性小等优点;但纯积分电压模型存在直流偏置和初始值误差累积问题。为了消除这些误差,相关文献采用了低通滤波器代替纯积分器[2]、饱和双反馈积分器[3-4]、低通滤波补偿积分器[5-7]等策略加以改进。

基于状态观测器的磁链观测方案主要有:滑模观测器[8]、扩展卡尔曼滤波[9]、全阶状态观测器[10-11]和降阶状态观测器[12]。滑模观测器是一种变结构控制系统,能够抵抗参数扰动的影响;但滑模观测器本质上是不连续的开关控制,会引起系统抖动。基于卡尔曼滤波的方法鲁棒性较强,但算法复杂、工程实现较为困难。基于全阶状态观测器实现的永磁同步电机定子磁链观测器存在观测器增益难以设计的问题。

本文基于ISOGI,提出了一种改进的永磁同步电机定子磁链观测方法。给出了基于ISOGI的定子磁链观测器的实现方法,并与传统的电压模型定子磁链观测算法进行了比较。最后通过仿真和实验验证了所提定子磁链观测器的可行性。

1 基于ISOGI的定子磁链观测器

永磁同步电机直接转矩控制的基础就是定子磁链和电磁转矩的观测,而电磁转矩观测的基础也是定子磁链的观测,因此,本文提出一种基于ISOGI的永磁同步电机定子磁链观测器,以解决传统的电压模型定子磁链观测器存在的问题,提高直接转矩控制的精度。

1.1 磁链观测器的原理

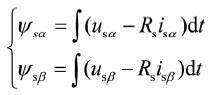
电压模型是交流调速系统中磁链观测的基本方法,它具有算法简单、对电机参数依赖小等优点。本文采用基于电压模型的定子磁链观测器,来获得永磁同步电机直接转矩控制所需要的定子磁链和电磁转矩。电压模型基于静止坐标系αβ轴电压与电流计算定子磁链,满足

(1)

式(1)中:

为定子磁链的αβ轴分量;μsα,μsβ为定子电压的αβ轴分量;isα,isβ为定子电流的αβ轴分量,Rs为定子电阻。

在电压模型中,定子磁链主要通过对反电势信号的积分得到,该方法只需要用到电机的定子电阻,而其数值相对较小,对磁链观测影响不大。但是,其中需要引入一个纯积分环节,而纯积分环节受积分初始值和积分漂移的影响。为此,一般用低通滤波器来代替纯积分器,虽然其解决了上述问题,但低通滤波器的引入不可避免地带来了幅值和相位误差。为此本文提出了一种基于ISOGI的定子磁链观测器。

1.2 ISOGI的实现及其性能

二阶广义积分器(second-order generalized integrator, SOGI)常应用在谐振控制器及正负序分离等场合中对交流信号进行处理,本文对SOGI进行改进可以实现磁链观测功能,从而可以得到基于ISOGI的磁链观测器。ISOGI的传递函数为

(2)

式中:k为增益系数;ω0为定子角速度。

采用输出反馈的方法得到ISOGI实现形式如下式所示。

(3)

对于输入正弦信号,ISOGI是一个频率自适应积分器,其结构框图如图1所示。

若输入频率为ω的信号,此传递函数的幅频和相频特性如下

(4)

由式(4)可得,稳态ω=ω0时,有|G|=1/ω0,说明ISOGI可以实现在输入频率ω0处的幅值增益为1/ω0;同时,可以看出相角关系∠G=﹣π/2,说明输出信号比输入信号滞后90o。因此,ISOGI环节可以对频率为ω0的输入信号实现纯积分作用。

ISOGI的伯德图如图2所示,其中,输入频率ω0取10*2πrad/s,k分别取0.2、

从图2中可以看出,当取不同的增益系数k时,ISOGI环节在输入频率处的幅值增益始终为1/ω0,相位始终为﹣90o,满足纯积分器的特性。

由图2可知,增益系数k的大小决定ISOGI环节的性能。当增益系数k较小时其表现为带通滤波器特性,对输入频率的选择性较好;而当增益系数k较大时其表现为低通滤波器特性,且动态响应较快。为了兼顾选择性和动态响应,增益系数k常取

1.3 基于ISOGI磁链观测器的实现

采用本文提出的ISOGI环节代替传统电压模型定子磁链观测器中的纯积分器,可以得到基于ISOGI的永磁同步电机定子磁链观测器,其输入输出关系如式(5)所示,对应的原理框图如图3所示。

(5)

图3中的定子电压可以根据变流器的开关状态计算得到,定子电流通过电流传感器测量得到。在αβ坐标系中经过ISOGI环节可以得到定子磁链的αβ轴分量,根据得到的定子磁链还可以进一步得到电磁转矩值,如式

相关阅读: 消息类文章

分享到:

声明: 本网站为冲压和钣金业内信息集合和展示平台,欢迎不同的声音和观点,为行业人士提供参考,文章并不代表MFC的观点。书面刊用本站及MFC《金属板材成形》的原创文章,必须获得MFC的书面授权;电子平台转载,则必须注明作者和出处,对于盗版、冒名和不注明出处等行为以及由此产生的负面后果,MFC保留追究的权利。

我来说两句(共0条评论,0人参与)注册 登录 |

  • 最新评论
    暂无评论

品牌展厅365天全天候线上展厅

推荐专题

  • 一周热点
  • 月点击榜
 

微信公众号

冲压钣金门户

扫描或搜索关注