当前位置:MFC金属板材成形网 > 正文

MFC推荐—动力电池组分层风冷式热管理系统仿真

2019-09-26 11:31:45 来源: 热管理
收藏
导读:

电动汽车是指以动力电池作为动力源的新能源汽车,与传统汽车相比,具有经济性能好、排放污染少、低速动力性好、与汽车电子以及车载互联网兼容性高等优点。电动汽车发展的技术核心集中于电池、电机、电控三大块,而其中动力电池作为电动汽车最为关键的组成部分之一,其工作状态的好坏直接影响整车的动力性、经济性和安全性。锂离子电池由于其能量密度高、循环寿命长、低温效应好、自放电率低、无记忆效应等优点,在车用动力电池方面得到了越来越多的应用。锂离子电池的工作状态与温度密切相关,因此锂离子电池的热管理技术成为了促进其在电动汽车领域运用的关键技术。

电池热管理系统 (BTMS)按照冷却介质的不同可以分为空气冷却、液体冷却、相变材料(PCM)冷却、热管冷却和冷板冷却等。现在市场上电动汽车的电池热管理系统主要使用空气冷却和液体冷却,相变材料储能密度大、装 置结构简单,热管导热性能好、热流密度可变,这些优点使得它们在电池热管理系统研究领域受到越来越多的关注。GIULIANO等在相邻方形钛酸锂电池之间布置铜制冷板,冷板流道内填充泡沫铝以加强流道内空气与冷板之间的散热面积以及热导率,弥补了传统风冷散热效率不高的缺点。特斯拉的ADAMS等设计的Roadster(参数|图片),采用双向流动的流场设计了液冷电池热管理系统,冷却液为50%水和50%乙二醇的混合物,这种扁管伸缩性较好,将电池与散热管道间的接触形式从线接触转变为面接触,提高了热传导速率,增强了系统的换热能力。洪思慧等提出开发超薄型热管与相变材料耦合的热管理技术,兼用两者的优点,能够保证电池始终处于合理的温度区间内。高明等采用纯铜翅片式热管理系统对某磷酸铁锂软包电池进行了实验,研究了放电深度、放电倍率和翅片厚度对电池组热特性的影响。空气冷却作为目前应用最为广泛的方式,拥有很多优点,但是其冷却速度较慢,响应速度较慢,且电池组间的温度一致性较差,本文以某38120圆柱型磷酸铁锂电池为研究对象,设计了一种新型的分层反向风冷系统,构建了锂电池热模型,通过仿真研究得出该系统能够有效降低电池的最高温度与平均温度,同时很大程度上提高电池组温度一致性的结论。

1 锂电池模型及理论基础1.1 锂电池模型

本文选用某38120圆柱型磷酸铁锂电池作为研究对象,对电池的几何模型进行合理简化,主要包括中心发热区域及电池外壳,发热区域尺寸为ϕ38mm×H118mm,铝外壳厚度为1mm,通过理论计算得出模拟区域电池材料热物性参数,锂电池单体的各项参数如表1所示。

表1 电池参数

磷酸铁锂电池3.2 10 1998.5 1158.8 1.06(径向),34.5(轴向)

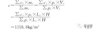
由于电池内部各部分的体积及密度都已知,可以得到中心发热区域的质量和体积,密度的计算如式(1)。

电池正常工作条件下,电池的比热容可以看作常数。由于电池内部各层的均匀性,只需要计算一层的比热容即可得到整个发热区域的比热容,见式 (2)。

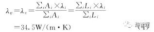
电池中心发热区域各组成部分的热导率已知,圆柱电池单体可分为3个方向,即轴向、周向以及径向,可利用公式计算其在不同方向上的热导率:

径向热阻串联,热导率见式 (3)。

轴向和周向热阻并联,热导率见式 (4)。

1.2 锂电池工作原理

锂电池的充放电过程即锂离子在正负电极之间来回嵌入和脱嵌的过程,被形象地称为锂电池的“摇椅效应”[8]。磷酸铁锂锂离子电池充放电过程的电化学反应式为式 (5)~式 (7)。

锂离子电池正常充放电时,锂离子在正负电极之间来回嵌入和脱嵌,导致层间距变化,而不会破坏晶体结构,没有金属锂的沉积,避免了低温条件下生成锂枝晶刺破电池隔膜,改善了电池的安全性,提高了循环寿命。

1.3 锂电池生热机理

在锂离子电池的工作过程中,其生热主要包括反应热Qr、欧姆内阻热Qj、极化热Qp、副反应热Qs,记总生热量为Qt则可表示为式 (8)[9]。

BERNARDI等从两个方面——熵增反应原理和锂离子电池内阻出发,同时假定电池是均匀的发热源并且热源稳定,反应热和极化热都看成是不可逆反应,建立了一种典型的电-热耦合生热速率模型,见式 (9)。

式中,U和UOCP分别表示电池工作电压和开路电压;T为热力学温度;为电动势温度系数,是与化学反应相关的量;Vb为电池体积。

其中,UOCP-U=IRj,则式 (9)简化为式(10)。

式中,分别表示欧姆内阻热部分和化学反应热部分。

对于38120型圆柱锂离子电池来说,电池总内阻与温度T以及电池容量 (SOC)值有关[11-12],在热管理系统设计时,可以把电池的总内阻作为恒定值计算电池的发热量,故取欧姆内阻Rj=5.5mΩ;锂电池电动势温度系数决定电池充放电过程中反应热的大小,熵变 (反应热)随着SOC值以及温度变化[13],取平均值=0.15mV/K;Vb=πR2×L=π×0.0192×0.12=1.361×10-4m3;为方便计算取电池工作环境温度为定值T=300K,得出电池在工作范围内放电时的生热速率公式,见式 (11)。电池单体在不同放电倍率下的生热速率见表2。

表2 不同放电倍率下的电池单体生热速率

放电倍率 单体电池生热量/W单位体积生热速率/W·m-31C(10A) 1 7347.5 2C(20A) 3.1 22777.4 3C(30A) 6.3 46289.5

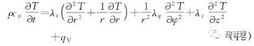
针对圆柱锂电池在柱坐标系下建立其导热微分方程,选择圆柱锂电池柱坐标下的任一个微元体如图1。按照傅里叶导热定律,可以得到圆柱锂电池在柱坐标系下三维非稳态传热的能量守恒方程,见式(12)。

式中,ρ为电池单体的平均密度,kg/m3;cp为电池的平均比热容,J/(kg·K);T为电池的温度,K;qV为电池内部单位体积的生热速率,W/m3;λr、λφ、λz分别为电池内部沿着径向、周向和轴向的热导率,W/(m·K)。

图1 柱坐标系下的导热微元体

1.4 单体锂电池实验与仿真结果对比

本文中设计磷酸铁锂电池的单体温升实验平台时只考虑电池以恒定倍率放电时电池单体的温升情况,在恒温箱中对电池进行1C、2C、3C的放电实验。电池正常工作时,为了保证电池的循环寿命,电池的放电深度 (DOD)一般控制在0.8以下,所以本次实验只研究SOC从1放电到0.2以上的温升情况。单体锂电池温升实验的实验器材如图2所示,具体包括:38120磷酸铁锂电池1节;温度采集系统 (包括多路温度记录仪一台及若干T形热电偶);单体电池支架;数字式直流毫欧表一个;放电负载 (一段负载长度可调的镍铬丝);烧杯一个;数字万用表一个;电池充电器一个。

同时使用Fluent 15.0对电池单体进行1C、2C、3C放电自然对流条件下的散热仿真,自然对流换热,空气密度采用Boussinesq假设,可压缩,压力出口、压力入口,均与大气相连,初始设置表压为0。空气的入口温度以及出口空气回流温度在1C、2C及3C放电时分别为295K、295K及297K。得到的实验值与仿真值对比结果如图3所示。

图2 单体温升实验平台

图3 电池单体实验与仿真温升曲线对比

3种不同放电倍率下,电池表面温度均随时间不断升高,放电初期电池温度上升速度较快,在放电后期电池的温度上升趋于平缓。仿真计算得到的温升曲线与实验相比误差均在4%以内,而且相同放电倍率下两者的相关性系数均非常接近1,实验结果与仿真结果的一致性很好,呈相同的变化趋势,验证了热物性参数计算以及仿真传热模型的准确性。

2 反向风冷结构温度场仿真

电池组一般由多个电池单体通过串联或者并联组合在一起构成,其散热情况与单体电池不同。电池组整体的产热量很大,内部各个单体之间互相影响,使得散热条件和温度均匀性变差,容量差异逐渐增加,部分电池单体可能提前放电到截止电压,导致电池组整体的充放电性能变差,循环寿命衰减。因此,为了降低电池的最高温度与平均温度,同时改善风冷热管理系统中各电池单体的温度一致性,提出了一种反向分层风冷式的散热结构,如图4所示。

图4 风冷式热管理系统结构示意图

空气冷却流道被中间带孔的隔板分成上下两部分,上下流道的出入口尺寸均为104mm×65mm。隔板的圆孔位置布置着竖直放置的圆柱锂电池,该电池模块包括20块圆柱锂电池,成矩阵2×10排列,相邻电池的中心距为52mm(即相邻电池间隙最小距离为14mm),电池单体从左到右分别编号为a~j,计算模型沿对称平面取1/2,入口风速取2m/s,入口空气温度取25℃,以3C放电为例,对比同向不分层结构与反向分层结构的冷却效果。

为了研究新型分层风冷结构对于电池组温度场分布变化的影响,对风冷结构的数值计算均采用稳态计算。求解器中的压力和速度耦合方法采用SIMPLE算法,压力的离散方法采用PRESTO!,动量、湍流动能、湍流耗散率、能量以及瞬态方程的离散方法均采用二阶迎风格式以提高计算精度。

如图5所示,使用同向不分层风冷结构的热管理系统,在空气入口段由于冷却空气的正面冲击散热效果最为明显,而在空气出口段由于冷却空气自身温度上升导致散热效果减弱,电池组整体最大温差较大;使用反向分层风冷结构的热管理系统,各电池温度分布非常均匀,流道中段电池温度稍低,各电池的温度分布沿着电池组的中线对称。电池组整体最高温度38.7℃ (与同向不分层相比降低0.6℃),整体最大温差4.5℃ (与同向不分层相比降低0.7℃,降幅13.5%)。

由图6可得,空气反向分层流动时,电池平均温度对称分布,中间电池的平均温度较低,而两端电池的平均温度稍高,各电池间温度变化较为平缓,最大平均温差1.1℃,与同向不分层流动相比降低1℃,降幅47.6%,电池的温度一致性得到很大程度的提高。两端电池温度偏高的主要原因在于冲击以及尾迹扰动导致空气入口段电池温度变化相对平缓,如果能使电池处于上、下流道内的上、下半截部分的温度分别沿着流动方向趋于线性变化,那么电池单体之间的平均温度一致性还会进一步提高。

图5 风冷式热管理系统纵截面温度云图

图6 两种风冷结构下电池的平均温度分布图

2.1 增加扰流板对散热的影响

在原有的结构基础上,针对空气入口位置的电池温度变化平缓,为了使电池温度沿空气流向趋于线性变化,在空气入口处增设扰流板,扰流板结构如图7所示。来流空气经过扰流板的扰动后变成具有不均匀流速分布的旋涡流,使得湍流更早地充分发展,使得电池上、下半截的温度分别趋近线性变化,最终减小各单体电池之间的平均温差。此外,整个电池组流道内的扰动效应增强,电池组的整体散热性能也会得到提高。

根据提出的结构优化方案改进相应的网格模型,对优化后的电池组散热网格模型进行数值计算,得到在原有的反向分层风冷结构基础上增加入口扰流板后的电池组温度场分布情况,如图8所示。

图7 反向分层风冷结构扰流板布置图

图8 带扰流板反向分层流动的电池组纵截面温度云图

电池组整体最高温度38.2℃ (与不加挡板时相比降低0.5℃),整体最大温差4.8℃ (与不加挡板时相比增加0.3℃),电池组整体最高温度及最大温差基本不变。对比图9(a)、(b)可发现,增设扰流板后,两端电池温度沿轴向趋于线性分布,并且中间部分的电池单体的温差也有所减小。

图9 反向分层流动电池表面温度分布云图

如图10所示,与原有的反向分层风冷结构相比,加上扰流板后,电池平均温度均下降约2.7℃,降幅7%左右,这说明加扰流板后电池散热结构的散热能力得到一定提高,能够更好地适应高温环境下电池组的散热要求。加上扰流板后分层反向风冷结构的电池平均温差仅为0.5℃,不加扰流板时为1.1℃,降低0.6℃,降幅54.5%,温度一致性也得到大幅提高。

图10 反向分层风冷结构有无扰流板的电池平均温度分布图

此外加上扰流板后,风冷模型物理结构发生变化,整个流道的风阻有所增加,不加扰流板时空气出口和入口两端压差为77.8Pa,加上挡板后压差为126Pa,压阻增加48.2Pa,增幅62%。仿真结果表明,原有结构基础上在空气入口处增设扰流板,虽然增加了一部分流道阻力,但是电池组的散热能力和温度一致性均能够得到一定提高。

2.2 电池间距对散热的影响

保证其他参数不变的情况下 (3C放电,空气入口温度25℃,空气反向分层流动,空气入口无扰流板,进口风速为2m/s),不增设入口扰流板是为了排除扰流板带来的干扰因素,改变相邻电池间最小间距L分别为8mm、10mm、14mm、18mm。仿真计算结果如表3所示。

表3 相邻电池间隙的最小间距对散热性能的影响

8 38.17 4.93 29.49 0.62 151.9 10 38.43 5 29.3 0.72 120.2 14 39.52 5.26 28.98 1.1 77.7 18 39.76 5.17 28.7 0.96 57.84

不同最小间距下各电池的平均温度分布规律基本一致,减小相邻电池间隙的最小间距可以改善电池组的散热条件,其原因在于随着最小间距的减小,电池内部流道变窄,导致电池间空气流速增加,散热条件会变好。

整体而言,反向分层风冷时,最小间距对电池温度相关参数的影响不大,但是流道的风阻则随着最小间距的降低而明显增加,从而增加空气强制对流换热的能耗,一般在电池箱体内部空间充裕时可以选择较大的间距以降低流道风阻,降低强制对流换热的能耗。从表3中的流道风阻变化可以看出最小间距从18mm减小到14mm时,风阻增加20Pa左右,增量较小;但是从14mm减小到10mm时,风阻增加42.5Pa,增量比较明显,为了降低能耗,本论文中相邻电池间隙的最小间距仍取14mm。

2.3 电池排数对散热的影响

分析分层且增设扰流板的风冷结构对电池模块散热的影响,增加电池组内电池排数,成矩阵2×20排列,电池单体从左到右分别编号为a~t,电池组除了长度尺寸增加了之外,保证其他尺寸 (如电池间距,流道截面尺寸,扰流板尺寸和扰流板距离第一排电池的距离等)都不变。研究空气入口温度为25℃、电池以3C放电、冷却风速为3m/s时,两种结构在电池排数增加后的散热性能。

如图11所示,空气同向不分层流动时各电池的平均温度沿着空气流向成先缓慢降低再逐步升高的趋势,平均温差较大;而带入口扰流板且空气反向分层流动时,各电池的平均温度分布很均匀,且沿着电池组中心截面对称,平均温差较小,这与之前的2×10排列的电池模块散热情况相似。

图11 两种风冷结构的电池平均温度分布

表4、表5分别为2×20和2×10排列的电池模块在两种风冷结构下的散热性能,结果表明两种电池排列下增设入口扰流板的反向分层风冷结构与无扰流板的同向不分层风冷结构相比,都能够强化电池的散热性能,降低电池组最高温度、电池组的整体温差及平均温差,提高电池组的温度一致性,但是2×20排列的电池模块的各温度参数的降低程度要大幅高于2×10排列的电池模块,此外增设扰流板后2×20排列的流道风阻增加的幅度也要低于2×10排列的电池模块。

表4 2×20排列两种风冷结构的散热性能对比

流道结构电池组最高温度/℃整体最大温差/℃电池最大平均温差/℃流道风阻/Pa无扰流板同向不分层 39.22 7.61 3.92 348.9有扰流板反向分层 36.88 5 0.64 453变化幅度 -6% -34.3%-83.7%+29.8%

表5 2×10排列两种风冷结构的散热性能对比

流道结构电池组最高温度/℃整体最大温差/℃电池最大平均温差/℃流道风阻/Pa无扰流板同向不分层 36.66 5.1 1.28 171.5有扰流板反向分层 35.98 4.98 0.49 280变化幅度 -1.9% -2.4%-61.7%+63.3%

这说明本文所提出的反向分层风冷结构在电池组排数增加时其散热性能的提升幅度增大,对应的流道风阻增加效应也会有所减弱。其原因在于,随着电池排数的增加,前排电池后的旋涡尾迹区扰动对后排电池换热系数的影响能够相对提前稳定,从而使得同向流动时电池平均温度随着流向更加趋于线性变化,对应的反向分层流动时,上半截电池温度趋于线性增加,而下半截电池温度趋于线性降低,电池单体的平均温度则会趋于水平变化,从而使得电池组整体最大温差降低幅度增加、各电池单体的温度一致性相对提高幅度也增加。

3 结论

为了强化风冷式电池热管理系统的散热能力,提高电池组的温度一致性,提出了反向分层风冷结构,运用Fluent 15.0对电池组散热结构进行稳态数值仿真计算,并对所提出的散热结构进行了改进和优化。

(1)对电池单体热模型进行简化处理,仿真模拟了电池在自然对流条件下的温升情况,与实验结果进行对比分析,两者一致性很好,呈相同的变化趋势,表明了所构建的圆柱磷酸铁锂电池热模型的准确性。

(2)比较了3C放电、常温、2m/s冷却风速下反向分层风冷结构与同向不分层风冷结构的散热性能,其中,电池组整体最高温度38.7℃ (降低0.6℃),整体最大温差则为4.5℃ (降低0.7℃,降幅13.5%),电池平均温差为1.1℃ (降低1℃,降幅47.6%),表明反向分层风冷结构在降低电池的最高温度与平均温度的同时,也能很大程度提高电池组的温度一致性。

(3)针对原始的反向分层分冷结构进行了优化,入口处增设扰流板后电池整体平均温度进一步降低2.7℃左右,电池平均温差仅为0.5℃,散热性能进一步提高,但是流道风阻也有所增加;电池间最小间距取14mm时能在较低的流道风阻下获得相对最优的散热性能;随着电池排数的增加,优化后的反向分层风冷结构对电池组散热性能的提升幅度也增大。

相关阅读: 消息类文章

分享到:

声明: 本网站为冲压和钣金业内信息集合和展示平台,欢迎不同的声音和观点,为行业人士提供参考,文章并不代表MFC的观点。书面刊用本站及MFC《金属板材成形》的原创文章,必须获得MFC的书面授权;电子平台转载,则必须注明作者和出处,对于盗版、冒名和不注明出处等行为以及由此产生的负面后果,MFC保留追究的权利。

我来说两句(共0条评论,0人参与)注册 登录 |

  • 最新评论
    暂无评论

品牌展厅365天全天候线上展厅

推荐专题

  • 一周热点
  • 月点击榜
 

微信公众号

冲压钣金门户

扫描或搜索关注