当前位置:MFC金属板材成形网 > 正文

MFC推荐—干货 | 动力电池热管理系统组成及设计流程

2019-09-25 13:50:32 来源:
收藏
导读:

动力电池是电动汽车的能量来源,在充放电过程中电池本身会伴随产生一定热量,从而导致温度上升,而温度升高会影响电池的很多工作特性参数,如内阻、电压、SOC、可用容量、充放电效率和电池寿命。

电池热效应问题也会影响到整车的性能和循环寿命,因此,做好热管理对电池的性能、寿命至整车行驶里程都十分重要。

接下来,就从电池热管理系统及设计流程、零部件类型及选型、热管理系统性能及验证等几个方面来和大家聊一聊:

01

动力电池热管理必要性

1、电池热量的产生

由于电池阻抗的存在,在电池充放电过程中,电流通过电池导致电池内部产生热量。另外,由于电池内部的电化学反应也会造成一定的生热量。

2、温度升高对电池寿命的影响

温度的升高对电池的日历寿命和循环寿命都有影响。

从上面两个图可以看出,温度对电池的日历寿命有很大的影响。同样的电芯,在环境温度23℃,6238天后电池的剩余容量为80%,但是电池在55℃的环境下,272天后电池的剩余容量已经达到80%。温度升高32℃,电芯的日历寿命下降了95%以上。因此,温度对日历寿命的影响极大,温度越高日历寿命衰退越严重。

从上面两个图可以看出,温度对电池的循环寿命也有很大的影响。同一款电芯,当剩余容量为90%,25℃温度下输出容量为300kWh,而35℃温度下的输出容量仅为163kWh。温度上升10℃ ,电芯的循环寿命下降了近50%。由此可见,温度对电池的循环寿命有很大的影响。

因此,为了电池包性能的最优化,需要设计热管理系统确保各电芯工作在一个合理的温度范围内。

02

热管理系统的分类及介绍

不同的热管理系统,零部件类型的结构不同、重量不同以及系统的成本不同和控制方式不同,使得系统所达到的性能也不相同。主要有如下五大类:

1、直冷系统

直冷系统具有系统紧凑、重量轻以及性能好的优点。但是此系统是一个双蒸发器系统、系统没有电池制热、没有冷凝水保护、制冷剂温度不易控制且制冷剂系统寿命短。

2、低温散热器冷却系统

低温散热器冷却系统是电池的一个单独系统,由散热器、水泵和加热器组成。该冷却系统具有系统简单、成本低、低温环境下经济节能等优点。但是此系统有着冷却性能低、夏天水温高、应用受天气限制等缺点。

3、直接冷却水冷却系统

直接冷却水冷却系统具有系统紧凑、冷却性能好以及工业应用范围广等优点。但是此系统零部件比直冷多、系统复杂、燃料经济性差且压缩机负荷高。此类型的冷却系统是目前最常用的电池热管理系统之一。

4、空冷/水冷混合冷却系统

空冷/水冷混合冷却系统中有两个关键零部件:

1)水冷电池冷却器;

2)空冷电池散热器。

空冷/水冷混合冷却系统具有系统紧凑、性能好且低温环境下经济节能等优点。但是此系统复杂、成本高、控制复杂且可靠性要求高。

5、直接空气冷却系统

此系统利用驾驶舱的低温空气对电池进行冷却。

直接空气冷却系统具有系统简单、空气温度可控以及成本低等优点。但是此系统并不是对所有类型的电芯都适合,浸湿后回复慢且电池内部会有污染的风险。

03

热管理系统设计流程

1、产品开发流程

电池热管理系统的开发流程应与电池包开发流程保持一致。热管理系统的设计贯穿于整个电池包的设计过程中,在整车开发经过A样件、B样件、C样件、D样件以及最后的产品5个阶段,电池热管理参与每个阶段的设计、更改、试制以及验证。

2、热管理开发流程

设计性能良好的电池组热管理系统,要采用系统化的设计方法。电池组热管理系统设计的过程包括如下7个步骤:

04

设计过程中的关键技术

1、确定电池工作最优工作温度范围

由于气候和车辆运行条件对电池影响很大,所以设计BTMS时需要确定电池组最优的工作温度范围。目前电动汽车用电池主要有铅酸电池、氢镍电池和锂离子电池。

1)铅酸电池

经研究发现,铅酸电池的寿命随温度增加线性减少,充电效率却线性增加,随着电池温度的降低充电接受能力下降,特别是0℃以下;模块间的温度梯度减少了整个电池组的容量,推荐保持电池组内温度的均匀分布和控制现有铅酸电池温度在35~40℃之间。效率和最大运行功率在-26~65℃范围内增加。

2)氢镍电池

当温度超过50℃时,电池充电效率和电池寿命都会大大衰减,在低温状态下,电池的放电能力也比正常温度小得多。下图是某80Ah氢镍电池不同温度下电池放电效率图,由图中可以看出,在温度高于40℃或者温度低于0℃时,电池的放电效率显著降低。如果仅根据这一限制,此电池的工作运行范围应该在0~40℃之间。

3)锂离子电池

与氢镍电池、铅酸电池相比,能量密度更高,导致生热更多,所以对散热要求更高。锂离子电池最佳工作温度在-20~75℃之间。

铅酸电池、氢镍电池、锂离子电池热管理的必要性取决于各自的生热率、能量效率和性能对温度的敏感性。氢镍电池在高温> 40℃)时生热最多、效率最低并且易于发生热失控事故。因此,氢镍电池很需要热管理,很多对氢镍电池进行液体冷却的努力也突出了这一点。

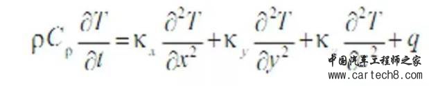
2、电池热场计算及温度预测

电池不是热的良导体,电池表面温度分布不能充分说明电池内部的热状态,通过数学模型计算电池内部的温度场,预测电池的热行为,对于设计电池组热管理系统是不可或缺的环节。通常使用如下公式进行计算:

式中:

a、T 是温度;

b、ρ 是平均密度;

c、Cp 是电池比热;

d、kx 、ky 、kz 分别是电池在x 、y 、z 方向上的热导率;

e、q 是单位体积生热速率。

3、电池生热率

电池充电过程中的反应生热可以分为两个阶段。

第1阶段:

没有发生过充电副反应之前,生热量主要来自: 电池化学反应生热、电池极化生热、内阻焦耳热。

第2阶段:

在发生过充电副反应之后,生热量主要来自: 电池化学反应生热、电池极化生热、过充电副反应生热、内阻焦耳热。其中大部分的生热量来自于过充电副反应生热。充电末期和过充电时,过充电副反应就开始发生。

电池放电过程中的生热量主要来自: 电池化学反应生热、电池极化生热、内阻焦耳热。需要指出的是氢镍电池放电时化学反应是吸热反应,能吸收一部分热量,所以生热问题不是很严重。

电池的内阻是影响电池生热速率的关键指标,它随着电池SOC变化,在得到电池内阻值后可以通过计算获得电池生热量,下图是某12V~80Ah氢镍电池模块在不同SOC下的内阻值。

采用专门设计的量热计可以直接测量出电池的生热量,还可以测出电池的热容量。

4、电池生热量主要因素

5、散热结构设计

电池箱内不同电池模块之间的温度差异,会加剧电池内阻和容量的不一致性,如果长时间积累,会造成部分电池过充电或者过放电,进而影响电池的寿命与性能,造成安全隐患。电池箱内电池模块的温度差异与电池组布置有很大关系,一般情况下,中间位置的电池容易积累热量,边缘的电池散热条件要好些。所以在进行电池组结构布置和散热设计时,要尽量保证电池组散热的均匀性。以空冷散热为例来,通风方式一般有串行和并行两种,如下图所示。

串行通风方式下,冷空气从左侧吹入从右侧吹出。空气在流动过程中不断地被加热,所以右侧的冷却效果比左侧要差,电池箱内电池组温度从左到右依次升高。

并行通风方式使得空气流量在电池模块间更均匀地分布。并行通风方式需要对进排气通道,电池布置位置进行很好地设计,其楔形的进排气通道使得不同模块间缝隙上下的压力差基本保持一致,确保了吹过不同电池模块的空气流量的一致性,从而保证了电池组温度场分布的一致性。

6、风机与测温点选择

在设计电池热管理系统时,希望选择的风机种类与功率、温度传感器的数量与测温点位置都恰到好处。

以空冷散热方式为例,设计散热系统时,在保证一定散热效果的情况下,应该尽量减小流动阻力,降低风机噪音和功率消耗,提高整个系统的效率。可以用实验、理论计算和流体力学CFD仿真(本案例采用FloEFD软件)的方法通过估计压降、流量来估计风机的功率消耗。当流动阻力小时,可以考虑选用轴向流动风扇;当流动阻力大时,离心式风扇比较适合。当然也要考虑到风机占用空间的大小和成本的高低。寻找最优的风机控制策略也是热管理系统的功能之一。

同侧风道流线图

异侧风道流线图

电池箱内电池组的温度分布一般是不均匀的,因此需要知道不同条件下电池组热场分布以确定危险的温度点。测温传感器数量多,有测温全面的优点,但会增加系统成本。考虑到温度传感器有可能失效,整个系统中温度传感器的数量又不能太少,至少为两个。根据不同的实际工程背景,理论上利用有限元分析、试验中利用红外热成像或者实时的多点温度监控的方法可以分析和测量电池组、电池模块和电池单体的热场分布,决定测温点的个数,找到不同区域合适的测温点。一般的设计应该保证温度传感器不被冷却风吹到,以提高温度测量的准确性和稳定性。在设计电池时,要考虑到预留测温传感器空间,比如可以在适当位置设计合适的孔穴。

05

热管理系统性能评估

仿真是电池热管理系统最有效的评估手段之一。根据目前已有的风冷和水冷项目经验,仿真可以完成如下工作:

1)水冷系统冷却板的压降计算以及冷却水流动一致性计算;

2)电池包热性能评估计算;

3)空气冷却系统优化计算。

1、散热型电池包热管理案例

以下为某混合动力汽车建立的整车热管理,其中包含电池包热管理模型、乘员舱模型、发动机冷却、HVAC、油冷系统和电机冷却系统FloMASTER软件(软件原名称Flowmaster)仿真模型,其中针对电池冷却系统,开展了一系列的设计仿真工作。

针对电池包,建立了电芯模型和冷却模型,考虑了电芯的热容、热阻和热桥,对冷却和加热过程进行了研究,得到了满足冷却温度要求(电芯不超过40℃)的水流量和在规定的30分钟内升温30℃的加热功率,以及加热过程中各电芯的温度均匀性及滞后性能。

2、直接空气冷却型电池包

该案例为三菱欧兰德车型的热管理仿真,得到了不同气象条件及整个测试循环工况下蒸发器出口的冷风状态及电芯温度。

3、空/水混合冷却型电池包

以下模型为空/水混合冷却型电池热管理及整车热管理模型,并对该系统进行了不同季节、不同车况的热管理仿真,并结合控制策略,研究了不同档位的采暖和电池加热工况以及纯加热工况,对系统设计及控制策略优化提供了重要依据。

最后小编想说电池的温度直接影响了电池的安全性,因此电池的热管理系统设计研究是电池系统设计中最关键的工作之一。必须严格按照电池的热管理设计流程、电池的热管理系统及零部件类型、热管理系统的零部件选型及热管理系统的性能评估等多个方面来进行电池系统热管理的设计和验证,才能保证电池的性能和安全性。

相关阅读: 消息类文章

分享到:

声明: 本网站为冲压和钣金业内信息集合和展示平台,欢迎不同的声音和观点,为行业人士提供参考,文章并不代表MFC的观点。书面刊用本站及MFC《金属板材成形》的原创文章,必须获得MFC的书面授权;电子平台转载,则必须注明作者和出处,对于盗版、冒名和不注明出处等行为以及由此产生的负面后果,MFC保留追究的权利。

我来说两句(共0条评论,0人参与)注册 登录 |

  • 最新评论
    暂无评论

品牌展厅365天全天候线上展厅

推荐专题

  • 一周热点
  • 月点击榜
 

微信公众号

冲压钣金门户

扫描或搜索关注