当前位置:MFC金属板材成形网 > 正文

MFC推荐—200Wh/kg?300Wh/kg?叠片式锂离子电池型号设计优化比能量

2019-09-23 13:50:23 来源: 第一电动
收藏
导读:

响应政府的号召,提升锂离子电池的能量密度成为各电池厂家、研究机构的热点问题。宁德时代、天津力神、国轩高科等团队,已经基本实现了300瓦时/公斤动力电池的研发,另外,仍旧有大量单位开展相关方面的开发和研究工作。目前,为了实现电池的质量比能量300Wh/kg的目标,主要的方法包括:

(1)选择高容量材料体系,正极采用高镍三元,负极采用硅碳;

(2)设计高压电解液,提高充电截止电压;

(3)优化正负极浆料的配方,增加活性物质在电极中占比;

(4)采用更薄的铜箔、铝箔,减少集流体的所占的比例;

(4)提高正负极的涂布量,增加活性物质在电极中占比;

(5)控制电解液的数量,减少电解液的数量提高锂离子电池比能量;

(6)优化电池的结构,降低极耳、封装材料等在电池中所占的比例。

在圆柱、方形硬壳、软包叠片三种电池形态中,软包电池具有设计灵活、重量轻、内阻小、不易爆炸、循环次数多等特点,电池的比能量性能也突出。因此,叠片式软包动力锂离子电池是目前研究的热点。在叠片式软包动力锂离子电池型号设计过程中,主要的变量可区分为以下6 个方面,前3 者可认为是由电化学体系水平、设计规则决定的,后3 者通常是型号设计关注的变量因素。

(1)正负极材料和配方;

(2)正负极压实密度;

(3)负极容量( N) 与正极容量( P) 的比值( N/P);

(4)极片单元数量( 等于正极片数量) ;

(5)正极涂布量( 在N/P 确定的基础上,先确定正极涂布量,随之可确定负极涂布量);

(6)单片正极的单面面积( 由正极片长度和宽度决定,当正极片长度和宽度确定后,负极片的尺寸也随之确定,电芯尺寸即可确定)。

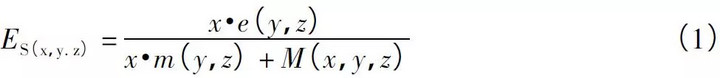
首先,根据文献【 1】,探讨极片单元数量、正极涂布量和单片正极的单面面积对电池比能量、能量密度的影响。电池的比能量( ES) 可用式( 1) 表示。

式( 1) 中:x 为电池中包含的正极片数量;y 为正极涂布量,kg /m2 ;z 为单片正极的单面面积,m2;x∈N* ,y > 0,z > 0;e( y,z ) 为一个极片单元所能贡献的能量,Wh,计算公式见式( 2) 。

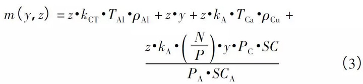
式( 2) 中:DAV为放电平均电压,V;PC为正极活性材料质量与正极活性材料加导电剂加粘结剂的总质量的比值,%;SCC为正极活性材料的比容量,Ah /kg;m( y,z ) 是一个极片单元的质量,kg,计算公式见式( 3)。

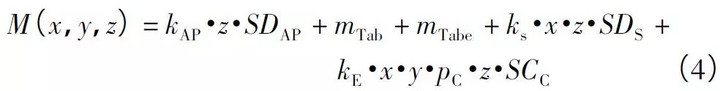
式( 3) 中: KCT为单片正极总面积( 涂层面积和极耳箔面积之和) 与单片正极的单面面积之比,且大于1; TAl为铝集流体的厚度,m;ρAl为铝集流体的密度,kg /m3;KA为每片负极总面积与单片正极的单面面积的比值,且大于1;TCu为铜集流体的厚度,m;ρCu为铜集流体的密度,kg /m3;N/P 为负极容量与正极容量的比值;PA为负极活性材料质量与负极活性材料加导电剂加粘结剂的总质量的比值,%;SCA为负极活性材料的比容量,Ah /kg。M( x,y,z ) 为非贡献能量物质的质量,kg,计算公式见式( 4) 。

式( 4) 中: kAP为铝塑面积与单片正极的单面面积的比值,且大于1;SDAP为铝塑的面密度,kg /m2;mTab为正负极耳的总质量,可看成常量;mTape为胶带的总质量,可看成常量;kS为隔膜总面积与正极片总面积的比值,且大于1;SDS为隔膜的面密度,kg /m2;kE为电解液质量与电池容量的比值,该系数为正数。据此可以得出:x、y 和z 任一单因素增大,将使电池的比能量增大。

将极片单元数量、正极涂布量、单片正极的单面面积等三因素的各水平进行正交组合,对以某一组确定的电极材料与配方、压实密度及N/P 为基础计算出的计算出的电池比能量、能量密度进行极差分析。正交设计及计算结果见表1。采用极差法对正交设计结果进行分析,结果见图1。电池的比能量、能量密度随着极片单元数量、正极涂布量、单片正极的单面面积单调递增。在极片单元数量、正极涂布量、单片正极的单面面积三个因素中,正极涂布量对电池比能量的影响最显著; 在极片单元数量、电极涂布量、单片正极的单面面积三个因素中,单片正极的单面面积对电池能量密度的影响最显著。

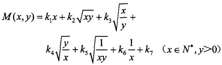
然后,根据文献【 2】,探讨在确定的材料体系和加工工艺水平下,只对电池的容量做要求,对电池尺寸及其它性能指标不做要求时,如何将电池的质量做到最小。以正极片数量和正极片长宽比为自变量的电池质量计算如公式(5)所示。

式(5)中,M(x,y)是电池的总质量;x是电池中的正极片数量;y是正极片长宽比(其值等于宽度除以长度,如图2所示);k1、k2、k3、k4、k5、k6、k7是系数,其值由电池容量、材料体系和加工工艺水平相关的26个参数决定,见表2,当表2中各参数确定后,各系数随之确定,26个参数与k1、k2、k3、k4、k5、k6、k7的关系很简单,但是推导过程很繁琐。对公示(5)进行数学推导,通过调整正极片数量和正极片长宽比,能取得型号设计所能实现的最小电池质量。

图2叠片电池长宽示意图

表2 叠片电池设计参数

表2中,具体数值是容量为50.3Ah的电池的实际参数值,相关参数确定出k1、k2、k3、k4、k5、k6、k7分别为0.041、0.680、0.619、13.953、8.261、639.554、921.609,x为21,y为1.97006(正极片宽度329 mln,长度167 mm),优化后,正极极片数为51时,电池质量最小。

主要资料:

【1】李国华, 张宏生, 王莉,等. 叠片式锂离子电池能量的影响因素[J]. 电池, 2016, 46(2).

【2】李国华, 张宏生, 李建军,等. 质量比能量型锂离子电池型号设计—电池质量公式[J]. 储能科学与技术, 2015, 4(4):412-416.

相关阅读: 消息类文章

分享到:

声明: 本网站为冲压和钣金业内信息集合和展示平台,欢迎不同的声音和观点,为行业人士提供参考,文章并不代表MFC的观点。书面刊用本站及MFC《金属板材成形》的原创文章,必须获得MFC的书面授权;电子平台转载,则必须注明作者和出处,对于盗版、冒名和不注明出处等行为以及由此产生的负面后果,MFC保留追究的权利。

我来说两句(共0条评论,0人参与)注册 登录 |

  • 最新评论
    暂无评论

品牌展厅365天全天候线上展厅

推荐专题

  • 一周热点
  • 月点击榜
 

微信公众号

冲压钣金门户

扫描或搜索关注