当前位置:MFC金属板材成形网 > 正文

MFC推荐—纯电动汽车电机驱动系统传动机构参数设计

2019-09-20 13:10:26 来源:
收藏
导读:


摘要:随着石油等能源短缺与环境污染问题日益突出,发展具有零排放、高能源效率的纯电动汽车显得尤为重要。如今我国电动汽车技术飞速发展,涌现出一批具有国际竞争力的公司和产品。但是电动汽车走进我们的生活,还存在很多亟待解决的问题。

本文对动力传动系部件的设计参数进行研究,根据纯电动汽车性能要求进行主要参数的设计及匹配,通过对具体车型的计算,建立仿真模型,并在cruise软件下进行仿真实验,模拟得到其动力性能,验证该模型车辆动力性能的可行性。分析影响续驶里程、最高车速和最大爬坡度的各种因素,提出能够很好地提高电动汽车动力性能的措施和方法。进一步探讨主要参数的确定,选择并设计出一种切实可行的纯电动汽车的动力传动系设计方案。

关键词:纯电动汽车 传动系 参数匹配 cruise 仿真

第一章 绪论

1.1 引言

由于经济的持续快速发展,我国对能源的需求急速增长。2011年2月25日,我国能量研究会公布,去年,我国一次能源消费量为32.5亿吨标准煤,同比增长了6%,中国已成为全球第一能源消费大国。中国能源研究会预测,我国能源需求将继续增长,这将进一步推动能源价格的普遍上涨。

此外,国际油价一路上涨。去年我国原油全年平均进口油价为每桶61美元,相当于每天支付4亿美元进口原油。最近,伦敦市场上布伦特原油期货价格达到113美元/桶以上,比调价时的102美元/桶,涨了10%左右;纽约市场上原油期货价格也比调价时上涨了超过10%。如果国际油价上涨10%,就相当于今年每天进口石油需花费5亿-6亿美元,相比调价前每天多花5000多万美元。

交通运输是目前我国能源消耗最大,也是能源消耗增长最快的行业之一。与此同时,交通所造成的污染日趋严重。汽车尾气排放已成为我国各大中城市污染的主要来源之一,交通所造成的污染越来越影响到人们的生活质量。因此,降低能源消耗、减少环境污染,以保持交通运输的可持续发展,已成为我国交通运输业可持续发展所面临的首要任务。

纯电动汽车作为“绿色的交通工具”,它的投入运行不仅对缓解能源危机以及环境问题有着重要的作用,对于我国自身相关产业的发展以及我国汽车业在国际中的地位也有着及其重要的意义。

1.2 国内外电动汽车发展现状

1.2.1国外电动汽车发展现状

世界各国著名的汽车厂商都在加紧研制各类电动汽车,并且取得了一定程度的进展和突破。现代电动汽车一般可分为四类:纯电动汽车(PEV)、混合动力电动汽车(HEV)、燃料电池电动汽车(FCEV)、外接充电式混合动力电动汽车(PHEV)。

美国一直致力于提高乙醇以及生物柴油等可再生资源使用量,同时,美国政府也鼓励以混合动力车为代表的其他新能源汽车的使用。美国的混合动力汽车在2004年前后进入商业化推广阶段。规定消费者购买通用汽车、福特、丰田、日产等公司生产的符合条件的混合动力车,可以享受到税款抵免优惠。推动新能源汽车发展是奥巴马政府能源政策的组成部分希望通过发展和利用新能源,使美国摆脱对海外石油的过度依赖。奥巴马总统上任后,美国通过制定进一步严格的汽车燃油排放标准和新能源汽车政策,以及通过政府采购节能汽车,消费者购买节能汽车减税,设立新能源汽车的政府资助项目,投资促进新能源汽车基础设施建设等策略,美国政府进一步推动汽车产品朝着“小型化”和“低能耗”的方向发展。

德国在新能源汽车研发方面处于世界领先地位。早在2007年,德国政府就已经把将电动汽车的关键技术,也就是锂离子电池列入到“高科技战略”中。2009年8月19号,德国政府又颁布了《国家电动汽车发展计划》,这个计划的目标是到2020年使德国拥有100万辆电动汽车。德国政府希望借助这项计划能够让德国成为世界电动汽车市场的领军者。德国在研发电动汽车和混合燃料车进行各项技术攻关的同时,也没有忘记相关的基础设施建设。包括大众、奔驰、宝马和欧宝在内的多家德国汽车巨头都在积极研发电动汽车。

意大利的汽车工业也很发达,意大利是欧盟国家中在汽车新能源技术方面比较领先的国家之一。首先,这源自政府采取的一系列激励和支持政策,比如为购买环保新型车的消费者提供一定的补贴,这些补贴都可以在报废旧车基础上进行累加。在金融危机和经济衰退的不利背景下,加大研制开发新能源汽车产品并取得显著成绩。不仅有菲亚特这样的大型汽车生产集团,一些中型汽车公司或汽车业界联合体也大量涉足新能源汽车的研制与开发。

日本异常重视新能源汽车的开发。日本混合动力车已形成产业化,目前,丰田、本田、日产等日本厂商的混合动力汽车不仅在国内热销,在国际市场上也令其他国家厂商望其项背。日本为攻克电池方面的关键性技术,已建立了开发高性能电动汽车动力蓄电池的最大新能源汽车产业联盟,共同实施2009年度“革新型蓄电池尖端科学基础研究专项”新项目。为推进新能源汽车以及环保汽车,日本从2009年4月1日起实施“绿色税制”,它的适用对象包括纯电动汽车、混合动力车、清洁柴油车、天然气车以及获得认定的低排放且燃油消耗量低的车辆。此外,日本实施低排放车认定制度,高、中档轿车和经济型轿车都可以向国土交通省申请接受低排放车认定。消费者可根据所购车辆的排放水平享受不同的减税待遇,购置以天然气为燃料或混合动力车等低公害车辆的地方公共团体,还可得到政府的补助金。日本媒体将2010年称为电动汽车革命之年,在这一年,从“汽油车转向电动汽车的革命已经开始”。

此外包括韩国、英国、法国等也都在积极开展电动汽车的研发工作。

1.2.2国内电动汽车发展现状

与世界其他国家一样,电动汽车研发工作在我国也正在如火如荼的进行着,而且我国电动汽车的研发与国外在技术水平与产业化方面差距较小。新的中国汽车产业调整和振兴规划中称,将实施新能源汽车战略,推动纯电动汽车、充电式混合动力汽车及其关键零部件的产业化。启动国家节能和新能源汽车示范工程,由中央财政安排资金给予补贴,支持大中城市示范推广混合动力汽车、纯电动汽车、燃料电池汽车等节能和新能源汽车。

我国于20世纪70年代曾开展蓄电池汽车的研究。90年代“八五”期间蓄电池电动汽车被列为国家重点攻关项目,以清华大学为主,开发出我国第一代蓄电池汽车。“九五”期间,将电动汽车项目确定为国家重大科技产业工程项目加以实施,同期国内推出了若干种电动汽车样车。“十五”和“863”计划中,特别设立电动汽车重大项目,选择新一代电动汽车技术作为我国科技创新的主攻方向,组织联合攻关,以电动汽车产业化技术平台为工作重点,力争在电动汽车关键单元技术、系统集成技术及整车技术上取得重大突破。“十一五”将电动汽车单列出来并纳入国家规划,将“新能源产业振兴规划”更名为“新兴能源的发展规划”,扩大新能源的研发范畴。

我国电动汽车重大科技专项实施4年来,经过200多家企业、高校和科研院所的2000多名技术骨干的努力,目前已取得重要进展:燃料电池汽车已经成功开发出性能样车,在整车操控性能、行驶性能、安全性能、燃料利用率等方面均已得到较大提高。一汽、东风、长安、奇瑞等汽车公司对混合动力汽车的开发投入了较大的人力、物力。各车型均已完成功能样车开发。纯电动轿车和纯电动客车均已通过国家质检中心的型式认证试验,各项指标均满足有关国家标准和企业标准的规定,初步形成了关键技术的研发能力。

1.3 本文研究的意义

电动汽车是集汽车技术、电子及计算机技术、电化学技术、能源与新材料技术于一体的高新技术产品,是人类新一代的清洁交通工具。纯电动汽车具有零污染、零排放、低噪声等特点,无疑是最为理想的新能源汽车。对动力传动系部件的设计参数进行研究是提高纯电动汽车性能的重要手段之一。本文将计算机仿真技术应用到纯电动汽车设计和研发,建立仿真模型,确保实验结果的准确性和可行性。

1.4 本文研究的主要内容

1.简述电动汽车的发展状况,明确本文研究的目的和意义;

2.分析纯电动汽车动力传动系统的总体结构和布置形式,并研究传动系统的类型、特点、工作特性,电池电机的工作特性及传动系统特性;

3.计算传动系速比和电机参数,及其对整车性能的影响。应用电动汽车仿真软件Cruise,针对某型号驱动电机,建立仿真模型,进行整车动力性计算;

4.对纯电动汽车的动力性进行分析,重点分析最高车速、爬坡度和加速性数据;以及结合被选择电机的台架试验数据,分析仿真结果。

第二章电动汽车的基本结构

2.1 电动汽车的基本组成

对于传统内燃机汽车,纯电动汽车的结构有很大差别,具体组成包括:电力驱动及控制系统、驱动力传动等机械系统、完成既定任务的工作装置等。电力驱动及控制系统是电动汽车的核心,也是区别于内燃机汽车的最大不同点。电力驱动及控制系统由驱动电动机、电源和电动机的调速控制装置等组成。电动汽车的其他装置基本与内燃机汽车相同。

2.1.1电源

电源为电动汽车的驱动电动机提供电能,电动机将电源的电能转化为机械能,通过传动装置或直接驱动车轮和工作装置。电动汽车上应用最广泛的电源是铅酸蓄电池,但随着电动汽车技术的发展,铅酸蓄电池由于比能量较低,充电速度较慢,寿命较短,逐渐被其他蓄电池所取代。正在发展的电源主要有钠硫电池、镍铬电池、锂电池、燃料电池、飞轮电池等,这些新型电源的应用,为电动汽车的发展开辟了广阔的前景。本文讨论的对象使用高能锂电池作为动力源的电动汽车,锂离子电池由于其比能量大、放电电压高、循环寿命长、无记忆效应、具有快速充电能力、自放电速率小、具有多种安全保护措施、密封良好,无泄漏现象、环保等众多优点,使得其在未来电动汽车中的应用前景非常广阔。

2.1.2电池管理系统

电池管理系统一直是电动汽车发展中的一项关键技术,电池组管理系统最基本的作用是监控电池的电池电压、电流和温度,通过对这些参数的测量,预测蓄电池的SOC和相应的剩余行驶里程,管理电池的工作情况,避免出现过放电、过充、过热和单体电池之间电压严重不平衡现象,以便最大限度地利用电池的存储能力和循环寿命。

电池管理系统按照实现方式可以分为两大类:一类是基于芯片的电池管理系统;另一类是基于分立式器件的电池管理系统。基于芯片的电池管理系统一般将前端采集电路、均衡电路以及电量计量算法、通讯功能等集成在芯片中,辅以外围电路完成对电池的管理功能。具有更小的体积、更高的集成度等优势;基于分立器件的电池管理系统,有基于纯硬件和基于软硬件协调工作的解决方案,而软硬件协调工作方案由于实现更灵活、功能更完善,被广泛采用。该方案在产品设计的灵活性上占有一定优势。

2.1.3电机驱动系统

电机驱动系统包括电子控制器、功率转换器、电动机、机械传动装置和车轮,其功用是将电源的电能转化为机械能,通过传动装置或直接驱动车轮和工作装置。

目前电动汽车驱动系统主要分为4类:

1)、直流电动驱动系统,这种驱动系统结构简单、电磁转矩控制特性优良,在城市无轨电车上广泛应用但重量和体积也较大;

2)、感应电机驱动系统,这种驱动系统结构简单、坚固耐用、成本低廉、运行可靠、转矩脉动低、低噪声、不需要位置传感器、转速极限高、矢量控制调速技术比较成熟,但驱动电路复杂,成本高;

3)、永磁无刷电机系统,这种驱动系统功率密度较高、电机尺寸小、体积小、转子结构简单、稳定性好;

4)新一代牵引电机系统,这种系统即开关磁阻电机驱动系统,具有高密度、高效率、低成本、宽调速。

2.1.4底盘和车身

电动汽车的车身与传统汽车基本相同,底盘中的传动系比内燃机汽车有所简化。在底盘的布置上还要有足够的空间存放动力电池组,并且要求线路连接方便,充电方便,检查方便和装卸方便。能够实现动力电池组的整体机械化装卸。这就要求在电动汽车的底盘的布置上,打破传统的内燃机汽车底盘布置模式,加大承载空间的跨度和承载结构件的刚度,并且充分考虑防止动力电池组渗出的酸或碱液对底盘结构件的腐蚀侵害。

车身采用轻质材料如镁、铝、优质钢材及复合材料,优化结构,可使汽车自身质量减轻30%-50%;实现制动、下坡和怠速时的能量回收;采用高弹滞材料制成的高气压子午线轮胎,使汽车的滚动阻力减少50%;汽车车身特别是汽车底部更加流线型化,可使汽车的空气阻力减少50%。

2.1.5辅助设施

辅助系统包括辅助动力源、动力转向系统、导航系统、空调器、照明及除霜装置、刮水器和收音机、安全保护装置等,借助这些辅助设备来提高汽车的操纵性、安全性和乘员的舒适性。

2.2 本章小结

电动汽车与传统汽车差别较大,传统汽车是由发动机气缸的往复运动,驱动车辆行驶。而电动汽车是由电机旋转驱动电机。电机驱动及控制系统是电动汽车的核心,也是区别于内燃机汽车的最大不同点。

本章详细讨论电动汽车的5大系统,即电源、电池管理系统、电机驱动系统、车身及底盘、辅助设施。对于电动汽车的设计研发,有一定的综合指导作用。

第三章传动系参数设计

3.1 概述

电动汽车动力传动系统的设计应该满足车辆对动力性能的要求和续驶里程的要求。确定汽车的动力性,就是确定汽车沿行驶方向的运动状况。我们得到动力性能的要求,即最高车速50km/h,加速性能0~45km/h小于10s,爬坡度不小于20%。为此,需要掌握沿汽车行驶方向作用于汽车的各种外力,即驱动力与行驶阻力。根据这些力的平衡关系建立汽车行驶方程式,就可以估算汽车的最高车速、加速度和最大爬坡度。

汽车的行驶方程式为:

3.1.1驱动力

发动机产生的转矩,经传动系传至驱动轮上。此时作用于驱动轮上的转矩Tt产生一对地面的圆周力F0,地面对驱动轮的反作用力Ft(方向与F0相反)即是驱动汽车的外力,此外力称为汽车的驱动力。其数值为:

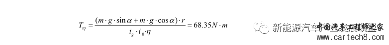
由于电动汽车采用电动机驱动,所以在电动汽车中Tt是由电动机输出的转矩经传动系统传递到车轮上的。令传动系统总传动比为Σi,主减速器的传动比i0,变速器的传动比ig,传动系统的机械效率为ηt,驱动电动机的输出转矩为Ttq,则有:

3.1.2行驶阻力

汽车在水平道路上等速行驶时,必须克服来自地面的滚动阻力和来自空气的空气阻力。当汽车在坡道上上坡行驶时,还必须克服坡度阻力。汽车加速行驶时还需要克服加速阻力。因此汽车行驶的总阻力为:

车辆行驶时,不仅驱动力和行驶阻力相互平衡,电动机功率和车辆行驶阻力功率也总是平衡的。即:在车辆行驶的每一时刻,电动机发出的功率Pe总是等于机械传动损失的功率与全部运动阻力所消耗的功率之和。在纯电动汽车中,Pe为电动机的输出功率。车辆运动阻力所消耗的功率有滚动阻力功率Pf,空气阻力功率Pw,坡度阻力功率Pi以及加速阻力功率Pj。即:

3.3 电机参数设计

设计原则:动力系统的额定功率必须满足车辆以最高车速行驶、动力系统必须满足车辆加速性的要求、动力系统必须满足车辆以最大爬坡度爬坡的要求、动力系统必须满足车辆以额定转矩在额定车速行驶的要求、根据汽车的动力性指标选择最适合的驱动电机。

3.3.1电动机额定功率

所选择的电动机功率应不小于在平坦良好路面上车辆以最高车速行驶时阻力功率之和,即

3.3.2电动机额定转矩

当电动汽车以额定车速在平地上匀速行驶时,电动机输出的转矩即为额定转矩。

3.3.3电动机加速性能

在水平良好路面上,车辆的行驶加速度表示为:

3.4 电池参数的确定

结合确定的电机参数,参考市面上已有的动力电池,我们选定某型号的锂铁动力电池作为我们的动力源。

最大电池容量为150Ah,起始容量为90%,额定电压为72.0V,最大电压82.2V,最小电压60V。电池组电池数量为1,电池组质量为120kg。

综上所述,选取车型的额定功率5kW,最大功率15kW,可以满足功率要求。电动机的最大转速是3100r/min,额定转速是1500 r/min。采用的最大转矩50 N·m,最大转速时的转矩为15 N·m。额定电压60V。

第四章建立整车仿真模型

4.1 Cruise简介

AVL是一家在世界汽车、发动机行业拥有极高知名度的高科技公司。AVL Cruise软件是用于仿真研究车辆动力性、燃油经济性、排放性能与制动性能的高级仿真分析软件。该软件可以用于车辆开发过程中的动力传动系的匹配、车辆性能预测,还能够对混合动力车和电动汽车进行建模仿真和性能模拟。AVL Cruise软件界面友好,不但与发动机性能分析软件(AVL Boost)有很好的耦合计算性能,还提供了与Matlab、C、Fortran等通用编程软件的接口,为用户建立自定义模块及控制元件的模型提供了方便,并扩展了软件的应用范围。

Cruise具有以下特点:

1)灵活的模块化理念可进行各种车辆和动力总成配置的分析,能够自由地在所提供的模块的基础上建立系统模型;

2)智能化的驾驶员模型可根据人体反应真实地再现车辆的行为;

3)发动机的冷启动模型考虑了高摩擦和热力学效应;

4)弹性扭转轴单元可用于传动系统的低频振动特性研究;

5)黑盒子功能可使用户自定义模块和控制算法;

6)提供了流体动力学软件Flow master、KUL I及MATALAB/SIMUL INK的接口;

7)考虑了转向时车轮和车辆受力;

8)有分析CVT的专用模型。

Cruise提供了一种图形化的交互环境,只需用鼠标拖动的方法从模型库中拖出相应的元件,便能迅速地建立系统框图,根据研究的需要添加相应的控制模块,并正确连接数据总线,便可很快得到系统模型。用户能方便地修改动力传动系的配置,所以用它来对动力传动系统建模将是一件非常轻松的事情。

利用Cruise软件可以缩短研发周期,节约研发成本,减少设计的盲目性。

4.2 电机模型的建立

根据已有型号的电机,把相应的转矩、转速及其他有关数据输入Cruise之中,建立电机模型。

电机工作电压60V,最大转速为3100rpm/min,转动惯量0.15kg·m2,最大转速的扭矩时0N·m。电机质量10kg,初始工作温度50℃,比热容1000J/kgK,达到最大功率转速时间10s,最大温度160℃。设电机效率为恒定值,与转速和输出扭矩大小无关。将数据输入电机后得出特征图。如下图所示:

4.3 电池模型的建立

最大电池容量为150Ah,起始容量为90%,额定电压为72.0V,最大电压82.2V,最小电压60V。电池组电池数量为1,电池组质量为120kg。如下图所示:

4.4 整车模型的建立

将电池、电机、离合器、变速箱、驾驶员模块以及车轮等模块拖入Cruise的工作区中,建立模型。输入系统中各个模块的参数,如车辆模块的满载重量、迎风面积和阻力系数等;电机的电压、转矩和转速等;车轮的摩擦系数;主减速器的主减速比等。在CRUISE仿真时,系统会提示所有必须要输入的参数,按照这个要求,把参数一一输入即可。

建立系统的物理连接和信号连接。首先完成物理连接,选定各子系统模型之后,根据汽车配置方案和部件连接关系,用connect建立模型的物理连接。传动系各部件之间有直接的物理连接关系,车轮和制动器之间也有物理连接关系,但驾驶室与动力传动系和制动系之间没有物理连接。在仿真过程中,它们之间是通过信号连接来传递信息。了解汽车系统内部各部件之间的连接、控制关系以及信息传递关系,建立汽车各子模型之间的信号连接关系。系统需要把所需的信号连接全部定义准确,如果有一个错误,那么将无法运行仿真程序。如下图所示:

第五章仿真及结果分析

根据纯电动汽车仿真的要求,选择和编辑相应的任务及工况,设置合适的仿真步长和精度进行仿真计算。设定的计算任务有:在任务Cycle Run中仿真续驶里程;在任务Climbing Performance中仿真最大爬坡度;在任务Constant Drive中仿真最高速度。选择single calculation的计算方式,计算完成之后在Result Manager中提取计算结果,并进行相应的分析。

5.1 整车仿真及结果分析

该车型最大爬坡度为1.3%,,不满足要求。

相关阅读: 消息类文章

分享到:

声明: 本网站为冲压和钣金业内信息集合和展示平台,欢迎不同的声音和观点,为行业人士提供参考,文章并不代表MFC的观点。书面刊用本站及MFC《金属板材成形》的原创文章,必须获得MFC的书面授权;电子平台转载,则必须注明作者和出处,对于盗版、冒名和不注明出处等行为以及由此产生的负面后果,MFC保留追究的权利。

我来说两句(共0条评论,0人参与)注册 登录 |

  • 最新评论
    暂无评论

品牌展厅365天全天候线上展厅

推荐专题

  • 一周热点
  • 月点击榜
 

微信公众号

冲压钣金门户

扫描或搜索关注