当前位置:MFC金属板材成形网 > 正文

MFC推荐—非晶合金永磁电机的电磁振动噪声计算与分析

2019-09-19 14:28:56 来源: CMF设计军团号
收藏
导读: 电动汽车的研制成为汽车发展的必然趋势,电动汽车的关键技术之一是电机技术。将非晶合金材料应用在电机定子铁芯上


编者按:电动汽车的研制成为汽车发展的必然趋势,电动汽车的关键技术之一是电机技术。将非晶合金材料应用在电机定子铁芯上,对其损耗和磁通密度脉动进行研究和分析,得知非晶合金定子电机损耗小于硅钢片电机,磁通密度脉动稳定性好于硅钢片。通过装在概念车测试,非晶合金电机概念车的续航里程比硅钢片电机的长,非晶合金电机的平稳性更好些。本文工作的作者为宁波工程学院朱佳瑶。

0 引 言

将非晶合金作为电机的铁芯材料,可使铁芯损耗显著下降,提高能量转换效率,且其密度小于硅钢片,可以减小电机的重量。然而其磁致伸缩系数远大于硅钢片,使得其不能被过分压紧,且厚度极薄、脆性大,严重影响电机的电磁振动噪声。因此,非晶合金电机的研究需关注其振动噪声。

1978 年,美国通用电气公司首次申请了非晶定子铁芯的专利。国内外研究表明:电磁力波作用于定子部分是引起电机振动的主要原因,磁致伸缩引起的电机振动较小;转子部分的刚度通常较大,引起的振动噪声相对较小,电机振动的研究中通常只关注气隙中产生的电磁力波对定子部分和底座的影响。吴胜男等通过有限元计算和实验测试相结合的方法,分析了电磁力、磁致伸缩及铁芯叠片压紧力对非晶电机振动性能的影响,研究表明弹性模量较低是非晶电机振动性能不如传统硅钢电机的主要原因;钟星鸣等研究了非晶变压器的振动性能,结果表明采用非晶铁芯使得变压器振动加剧,可以通过固定或支撑的方法稳固非晶变压器以降低噪声;2010 年,日立公司研发出了一款卷绕非晶定子铁芯电机,其铁芯由多个非晶模块组合而成,该结构改善了振动噪声却增大了涡流损耗,降低了电机效率;杨浩东等通过有限元方法计算了永磁电机的电磁力波,分析了电机结构参数对电磁振动的影响,提出了采用增大极弧角度、增大隔磁桥宽度、采用磁极偏心等来降低电磁力波的方法;法国VEREZ G 等通过有限元方法,计算了气隙磁密及电磁力,研究表明磁路轴向对称的电机可以采用2D有限元计算并达到较高的精度。

目前,电机的振动噪声研究主要有以下几个方面:研究电机的固有频率和振动模态以避免共振的发生,计算电机的电磁力波,研究电磁力波引起的电机的谐响应,研究磁致伸缩引起的电磁振动,研究加工工艺对电机振动噪声的影响等。有关非晶电机电磁振动的研究相对较少。

本文基于日立金属公司提供的非晶合金Met-glas2605SA1的性能参数,以一台550 W 的小型永磁电机为样机,利用 ANSYS Maxwell 与 Workbench 有限元分析软件,通过电磁 ̄结构 ̄流体耦合的方法,计算定子铁芯振动的速度、加速度和位移,进而计算出非晶电机周围的噪声等级,与硅钢电机对比分析非晶合金材料对电机电磁噪声的影响。

1 电磁-机械-流体的耦合模型

1.1

电机电磁力啵的间隙模型

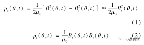
电机内部气隙处各阶磁场相互作用,在定子齿部表面形成垂直于切面的径向电磁力波和平行于切面的切向电磁力波。径向电磁力波产生电磁振动,切向电磁力波形成电磁转矩作用于定子齿部。电机内部电磁场的分布确定之后,根据Maxwell 张力公式,定子齿端表面的电磁力密度可以表示为:

式中:pr—径向电磁力密度,Pa;pt—切向电磁力密度,Pa;Br—气隙处径向磁密,T;Bt— 气隙处切向磁密,T;μ0—真空磁导率。

电机气隙处的切向磁密远小于径向磁密,因而可以忽略切向磁密的作用。由式(2) 可以看出:切向电磁力密度很小,电磁转矩对定子部分振动的影响非常有限。在 Maxwell 与 Workbench 的联合仿真中,电磁场计算完毕后通过气隙磁密计算得到电磁力的大小,然后直接将电磁力映射在定子齿部的节点上作为电磁振动的载荷,在结构场中进行动力学计算和分析。

1.2

电磁振动的结构电力学模型

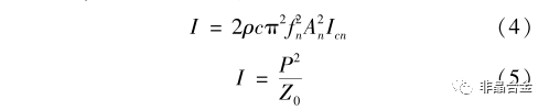
电磁力波作用于定子齿面,引发定子轭部以及机壳部分以相同的频率振动,引起电机周围空间的气体流动从而产生噪声。定子及机壳部分具有刚度和质量,进行结构分析时将定子简化为一个圆筒型壳体。根据 Hamilton 函数以及应力—-应变的关系,结构场域的有限元求解计算满足下式:

式中:M— 质量矩阵;C— 阻尼矩阵;K— 刚度矩阵;u— 单元节点的位移矢量矩阵;F— 激励载荷矢量。

1.3

电磁噪声的声场分析理论

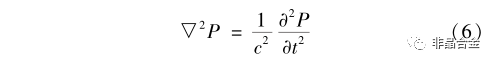
在电机的周围建立噪声分析区域,引入电机表面的振动速度作为电机周围声场计算分析的载荷来源。计算电磁噪声时,将电机简化为一个简单的圆柱体,则其辐射声强、声压与声强的换算关系为:

式中:I— 声强,W.m-2;P— 声压,Pa;ρ— 空气的密度,kg.m-3;fn—n阶固有频率,Hz;An— 第n阶振动位移,m;Icn— 相对声强系数,常数;c— 声速,m/ s;Z0—空气的特性阻抗(等于 ρc),kg.m-2.s-1。

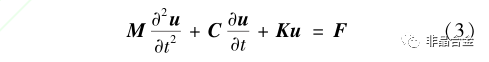
根据 Hamilton 公式,声场的有限元计算中声压的波动需满足:

式中:P— 声压,Pa;c— 声速,m/ s;t— 时间,s。

2 非晶合金Metglas2605SA1带材性能参数

传统电机通常采用冷轧硅钢片作为铁芯材料。为了便于分析非晶合金材料的特点,本文选择性能较好的冷轧硅钢片与非晶合金带材进行对比。

非晶合金 Metglas2605SA1 带材与冷轧硅钢片DW310_35的性能参数如表1所示。

表 1 非晶合金 Metglas2605SA1带材与冷轧硅钢片 DW310_35 的性能参数

从表1中可以看出:虽然非晶材料的饱和磁感小于硅钢片,但是其可以在较小的磁场下迅速达到饱和,具有很高的有效磁导率 ;非晶材料具有电阻率小、矫顽力小及厚度薄的优点,作为铁心材料可使铁耗大幅下降;非晶材料密度小,有利于降低电机的重量;此外,可以看出非晶带材的弹性模量远小于硅钢片,故而其更容易发生形变。

3 电磁振动分析的有限元设计

3.1

有限元的前处理

由于非晶合金带材的宽度较窄,笔者选择一台功率为 550 W 的小型永磁电机为例。

本研究在 ANSYS Maxwell 软件中建立电机的二维电磁场有限元模型,采用 Metglas2605SA1 带材作为定子铁芯材料,转子铁芯材料仍为冷轧硅钢片 DW310_35。

电机的主要结构参数和性能指标如表 2 所示。

表 2 电机的主要结构参数和性能指标

实际上电机定子结构并非完全自由,本文采用 4个螺栓固定电机定子部分,电机周围空间为空气。划分网格,设置转子部分的最大单元长度为0. 5 mm,定子轭部最大单元长度为 4 mm,定子齿部最大单元长度为 0. 25 mm, 气 隙 部 分 的 最 大 曲 面 分 割 长 度 为0. 001 mm。永磁体与转子部分为刚性连接。本文仿真采用叠压铁芯,非晶合金材料在制成定子铁芯之后的性能参数与非晶带材并不完全一致。在机械场的分析过程中,为了更加符合实际,需综合考虑非晶电机定子铁芯的加工过程,及叠片效应对非晶定子铁芯性能的影响,对非晶定子铁芯的力学参数进行修正。

修正后非晶定子铁芯和硅钢定子铁芯的力学参数如表 3 所示。

表3 修正后非晶定子铁芯和硅钢定子铁芯的力学参数

文献中,作者通过模态实验测试了叠压非晶定子铁芯的各阶固有频率,并以此为依据通过多次有限元仿真计算,修正了非晶定子铁芯的弹性模量和剪切模量,计算结果中各阶固有频率与实验结果的偏差≤3. 9%,精度较高,因此本文也采用该文献中修正后的参数。研究表明:非晶合金 Metglas2605SA1 制作的径向磁通铁芯叠片系数为 0. 90,轴向磁通铁芯叠片系数为0. 86。因此本文样机的叠片系数确定为 0. 9,非晶定子铁芯的密度为6. 462×103kg/ m3,泊松比为0. 3。为了 便 于 比 较, 笔 者 另 外 采 用 冷 轧 硅 钢 片DW310_35 作为定转子铁芯材料,进行电磁 ̄机械耦合的谐响应计算,硅钢定子铁芯的叠片系数为 0. 95。

3.2

计算过程

首先笔者进行瞬态场的求解计算,算出电机的磁场分布,然后在 ANSYS Workbench 中使用谐响应力学计算命令,根据电机气隙磁密,利用 Maxwell 张力公式计算出非晶电机24个定子齿部的径向电磁力和切向电磁转矩,并将其作为谐响应分析激励映射在定子齿部表面节点上。谐响应分析只考虑结构体稳定运行后的受迫运动,不考虑激励开始时的瞬态响应,用来计算结构体在简谐载荷作用下在各个频率上的响应,也称扫频分析,用来指导设计避免共振。非晶电机的机械场计算完毕之后,在电机周围建立直径为0. 8 m 的噪声计算的流体分析区域,选择电机机壳表面的振动速度矢量作为机壳周围空间流体噪声分析的源数据,导入 Workbench 声场分析模块。

4 计算结果与分析

4.1

非晶合金电机的电磁振动

稳定运行之后,非晶电机的磁感应强度分布如图1 所示。

图 1 非晶电机的磁感应强度分布

从图 1 中可以看出:非晶电机的磁场分布与传统电机一致,表明非晶合金作为定子铁芯材料可以满足电机在电磁性能方面的需求。

根据气隙磁密计算出电磁力的大小,非晶电机一个磁极下定子齿端的径向电磁力和切向电磁转矩数值如表4所示。

表4 非晶电机一个磁极下定子齿端的径向电磁力和切向电磁转矩数值

从表4可以看出:电机定子齿部的切向电磁转矩都很小,由此可见,引起电机电磁振动的主要原因是电机的径向电磁力波。

在径向电磁力波的作用下,电机定子部分应力分布云图、电机定子部分振动位移云图如图(2,3)所示。

图2电机定子部分应力分布云图

图3电机定子部分振动位移云图

由图(2,3)可以看出:非晶电机定子部分的应力最大值8.9 ×104Pa,变形位移的最大值为3. 12 ×10-8m,非晶电机的应力分布和振动位移都明显大于硅钢电机。由于非晶合金的弹性模量远小于硅钢片,所以非晶合金电机抑制电磁振动的性能不佳。

分别计算非晶电机和硅钢电机定子振动的加速度和振动位移,选择电机定子齿部表面各个节点的平均值进行频谱分析(选择频率分析范围为0~2 500 Hz),如图(4,5)所示。

图4 振动加速度频谱曲线

图5 振动位移频谱曲线

由图(4,5)可知:非晶电机的振动加速度和振动位移都明显大于硅钢电机,在 100 Hz、1 500 Hz、2 300 Hz三个频率点附近有较大的分量。

4.2

非晶合金电机的噪声分布

周围 0. 4 m 的区域内,电机电磁噪声声压分布如图6所示。

图 6 电机电磁噪声声压分布

从图6 可以看出:同一位置非晶电机的噪声高出硅钢电机约5 dB,非晶电机机壳表面的噪声最大值达到了70.5 dB,距离电机0.4 m 处的噪声水平为54 dB。

5 结束语

本文采用电磁-机械-流体耦合分析的方法,研究了非晶合金电机的电磁振动特性,并基于电磁场、机械振动以及流体的有限元联合分析,对一台小型非晶合金样机进行了计算,具体如下:

(1) 通过电磁场和机械场的耦合分析,计算出定子齿部表面的径向电磁力和切向电磁转矩,表明径向电磁力是产生电磁噪声的主要原因;(2) 机械场和声场的分析计算表明,非晶定子部分所受应力较大,振动位移和噪声都大于硅钢电机,非晶电机的噪声高出硅钢电机约5 dB;对振动位移进行频谱分析,结果表明该电机在100 Hz、1 500 Hz、2 300 Hz 附近有较大的振动位移分量;

(3) 非晶电机的电磁振动性能比传统硅钢电机的要差。

因此,要将非晶合金材料更好地用于实际产品,需要提高电机的刚度,降低噪声等。

相关阅读: 消息类文章

分享到:

声明: 本网站为冲压和钣金业内信息集合和展示平台,欢迎不同的声音和观点,为行业人士提供参考,文章并不代表MFC的观点。书面刊用本站及MFC《金属板材成形》的原创文章,必须获得MFC的书面授权;电子平台转载,则必须注明作者和出处,对于盗版、冒名和不注明出处等行为以及由此产生的负面后果,MFC保留追究的权利。

我来说两句(共0条评论,0人参与)注册 登录 |

  • 最新评论
    暂无评论

品牌展厅365天全天候线上展厅

推荐专题

  • 一周热点
  • 月点击榜
 

微信公众号

冲压钣金门户

扫描或搜索关注