当前位置:MFC金属板材成形网 > 正文

MFC推荐—技术丨锂电池内阻测量方法汇总

2019-09-09 14:12:30 来源: 焉知汽车科技
收藏
导读:

本文除了介绍锂电池内阻的外部表现以外,主要将收集整理的4种锂电池内阻测量方法汇总在下面。

1 锂电池内阻的构成

锂电池内阻主要包括两个部分,欧姆内阻和极化内阻在温度恒定的条件下,欧姆电阻基本稳定不变,而极化电阻会随着影响极化水平的因素变动。

欧姆电阻主要由电极材料、电解液、隔膜电阻及集流体、极耳的连接等各部分零件的接触电阻组成,与电池的尺寸、结构、连接方式等有关。锂电池的端电压,指锂电池被连接在回路中处于工作状态时,检测到的电池正负极之间的电压,其数值等于锂电池电势减去欧姆内阻占压后,剩余的电压值。

观察下面图形,展示的是锂电池放电过程的电压-时间曲线的开始一段。电池开始放电后,曲线有一个瞬间压降ΔU1,这是回路通电瞬间,电压传感器检测到的电池两端电压从开路电压(等于电池电势)切换到端电压的结果,ΔU1就是欧姆内阻占压,ΔU2则是在放电结束时候,断开回路时,电池端电压曲线上产生的一段电压回升,同样是欧姆内阻带来的影响,ΔU1与ΔU2是相同的。

能够检测到纯欧姆内阻的时间比较短暂,因为随着电流逐渐上升至额定回路电流的过程中,极化现象逐渐加强,两种内阻的作用将混合到一起,不能分别。测量欧姆内阻的时间窗口在1~2ms以内。

极化内阻,从电芯内由电流产生那一刻开始跟着产生,随着电流的增大而增大,是电池内部各种阻碍带电离子抵达目的地的趋势总和。极化电阻可以分为电化学极化和浓差极化两部分。电化学极化是电解液中电化学反应的速度无法达到电子的移动速度造成的;浓差极化,是锂离子嵌入脱出正负极材料并在材料中移动的速度小于锂离子向电极集结的速度造成的。

上图电压时间曲线上的ΔU3一段,是回路断开后,电池端电压逐渐回升的一段,是电池内部去极化过程的体现,ΔU3的数值就是极化内阻的占压。在不同的放电状态下,ΔU3的数值并不相同。

2 标准上的电池内阻测量方法

《FreedomCAR 电池试验手册》中的HPPC 测试实验,给出了锂电池内阻的一种典型测试方法——直流内阻测试法, 步骤如下:

(1)用恒流40A 限压4.2V 将电池充满;

(2)用100A电流放出10%DOD(放电深度Depth Of Discharge)的电量,此时电池SOC 为90%;

(3)静止1 小时;

(4)按下图脉冲功率试验图进行一次试验;

(5)重复(1)-(3)的试验,每次放电深度增加10%,直到放出90%DOD 进行最后的测试;

(6)将电池放出100%的DOD 。

电流时间曲线如上图所示。 t0 ~ t1 时刻,对电池以120A的电流放电;t1 ~ t2时

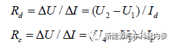
刻,电池断电静置;t2 ~ t3 时刻,对电池以100A 的电流充电。电池,内阻可以通过电池电压变化量与电流变化量的比值求出,具体计算公式如下:

式中Rd 为放电内阻, Rc 为充电内阻, Id为放电电流, Ic 为充电电流。脉冲放电和充电的时间不能过长,避免极化内阻产生明显影响。

3 一些锂电池内阻测试方法

通过上面的描述可看到,标准给出的直流内阻测试法,需要给电池一个脉冲大电流,这种测试方法的准确程度,不但与使用的充放电设备以及传感器的检测器具的精度有关,电池内阻本身大小,也会对误差产生影响。于是研究人员根据自身产品,设备条件研究出一系列方法,对锂电池内阻进行检测,下面列举其中几个比较典型的测试方式。

方法1,双电阻法测量电池内阻

秦辉在他的文章《电池内阻的测量》中介绍了利用双电阻法测量电池内阻的方法。

如图所示,电池串联一个电阻形成回路,测量负载电阻的分压,进而推算电池内阻。这是一个非常简易的方法,从接触电路开始,我们几乎就知道存在这么一个方法。使用这个方法的一个要点是,当外接电阻值与电池内阻越接近,测量结果的误差将越小。电阻计算公式:E/(r+ R)=U/R,所以 r=(E/U- 1)R

用单片机实现上述电阻测量原理,框图如下:

单片机主导的电池内阻测量过程如下:单片机复位后,其控制端输出高电平,将模拟开关的控制端IN 置1, 然后连续对电压表进行检测。当检测到电压表有输入电压时, 单片机将模拟开关的IN 控制端置0,则D 端与S2端之间呈断开状态,此时电压表测量所得的电压值为电源的电动势E。单片机通过数据总线将数字电压表测量所得的电压数据存入单片机存储器中。

然后单片机再将模拟开关的IN 端置1, 则D 端与S2 端之间呈导通状态。此时电压表测量所得的电压值为模拟开关、电阻rˊ和R 三者承受的总电压Uˊ,单片机将该电压数据读入到单片机存储器中。利用串联电路分压公式U=100 Uˊ/199.5,单片机计算出U。再利用公式“r=(E/U- 1)R”,单片机计算出电池内阻r(公式中的r1=rˊ+0.5 =99.5Ω)。单片机通过接口电路将计算结果送入电压表显示电路,显示出电池内阻r 的值。

这个方法,可以利用单片机的功能实现自动测量和结果显示,但检测的精度还是由电阻精度和电压表精度决定。

方法二,不平衡电桥法电池内阻测量

作者李舒晨,在他的文章《不平衡电桥法电池内阻测量装置的原理与设计》中介绍了利用不平衡电桥测量电池内阻的方法。

不平衡电桥法测量电池内阻的原理如上图所示。其中R01 , R02 , R03为电桥内设电阻,

Rx 为含电动势E 的电池内阻。 电阻R00和开关K跨接在电桥A 至B 之间. 根据戴维南定理,从N、G两点看去,可有图( b)所示的等效电路。其中E0 为开路电压, R0 为等效电阻。

当电路满足电桥平衡条件R02 /R01 = R03 /Rx时,上述等效电路电压源E0 和等效电阻R0 均不因开关K的接通与断开状态而改变,即在开关K接通和断开状态下均有

E0 = E〔( R01+ R02 ) /( R01 + R02 + R03 + Rx )〕=E〔R01 /( R01 + Rx )〕

R0 = ( R01+ R02 ) // ( R03+ Rx ) =( R02// R03 ) + ( R01// Rx )

用上述原理在实验室测试电池内阻时,只要在N , G之间接入一只直流电流表,反复接通和断开开关K,并调节R01或R02,直到开关状态变化时,电流表读数不变,此时便可依公式算出电池内阻:Rx = R01 (R03 /R02 )。

将上述测量过程中使用的开关用电子开关取代,并用周期性电压控制开关反复通断。 将N 、G间的短路电流转换为电压信号,并在开关通断期间对电压信号分别进行采样保持形成两路电压,最后对两路电压进行差分放大送至平衡电压指示表,这就构成一个用不平衡电桥原理测量电池内阻的装置。

电桥电阻R01 、R02、 R03的选择影响测量灵敏度;电阻R00对电桥灵敏度及电池放电有影响。

方法3,电池内阻在线测量

作者陈宝明在他的文章《电池内阻在线测量实验系统的设计与制作》中介绍了一个比较常用的在线测量方法,交流注入法。

基本原理

实现电池内阻在线测量的基本原理如上图所示, 当信号源给电池注入一个交流电流信号,测量出电池两端产生的交流电压信号和输入的电流,就可计算出电池的内阻:

r =Vrm/I rms

式中:Vrms 为电池两端交流电压信号的有效值;Irms为输入电池中的交流电流信号有效值。

具体实现在线测量的系统框图,如上图所示。系统由输出输入回路、输入转换电路、取样电路、低噪声前置放大器、方波转换电路、乘法器电路、积分器电路、交流恒流信号产生电路、单片机控制系统、显示器电路、接口电路和计算机等组成。

输出的交流恒流信号接到电池两端, 再将电池内阻产生的电压信号, 从电池两端直接连接到输入转换开关电路。 注入电流回路和信号测量回路分开, 降低导线阻抗对电池内阻的影响,实现四引线连接。

由单片机控制输入转换开关,首先接通取样电路, 检测出注入电池回路中的电流值;再接通电池两端, 检测出内阻上产生的电压信号, 从而根据内阻计算公式,计算出电池内阻并显示。同时, 可通过接口电路,向PC 计算机输送相关信息, 存储相关数据, 并自动绘制充放电特性曲线。

上述方法中,直流内阻测试法,是国内外标准的典型测试方法,测试结果认可度较高;交流注入测试法,则多用在在线测量领域,作为车辆运行过程中,对动力电池性能监测的一种手段。

相关阅读: 消息类文章

分享到:

声明: 本网站为冲压和钣金业内信息集合和展示平台,欢迎不同的声音和观点,为行业人士提供参考,文章并不代表MFC的观点。书面刊用本站及MFC《金属板材成形》的原创文章,必须获得MFC的书面授权;电子平台转载,则必须注明作者和出处,对于盗版、冒名和不注明出处等行为以及由此产生的负面后果,MFC保留追究的权利。

我来说两句(共0条评论,0人参与)注册 登录 |

  • 最新评论
    暂无评论

品牌展厅365天全天候线上展厅

推荐专题

  • 一周热点
  • 月点击榜
 

微信公众号

冲压钣金门户

扫描或搜索关注