当前位置:MFC金属板材成形网 > 正文

MFC推荐—技术丨锂电池液冷系统设计,有哪些需求和计算

2019-08-30 11:17:40 来源: 锂电派
收藏
导读: 人们根据对锂电池电化学反应过程的认识,通常把充放电过程中的热量划分成四部分:反应热、欧姆热、极化热和副反应热。对于新电芯,副反应热比例极小,可以忽略不计。但到了电池生命的后期,这种简化可能会带来较大偏差。

动力锂电池老化过程,温度是最重要的影响因素,获得适宜的工作温度,能够减缓电池的老化同时发挥电池的最优性能。动力电池包内,集成几百几千只电池单体在一个系统中,单体性能的一致性直接影响电池组整体的性能和寿命。处在电池包内不同位置,自然散热条件千差万别,想要获得一致的老化进度,先需要创造一致的工作温度。动力锂电池热管理系统的设计目标两个:

1)电池包内部维持在合理温度范围内;

2)不同电芯温差尽可能小。

1 需求导入

一个工程项目的设计,第一步务必理清客户需求。除了一般需求,还应该设身处地的挖掘周边需求,即使客户没有提及,我们最好提前私下加以考虑。对于液冷系统,动力锂电池包的基本需求,如下面所列举的项目所示。另,本文针对间接冷却的情形。

电芯类型及参数

锂电池体系选择,材料体系不同,带来热特性的区别。以现在主流的锰酸锂、磷酸铁锂和三元锂为例。锰酸锂,低温特性比较好,但高温耐老化性能较差,寿命较短,能量密度中等;磷酸铁锂,低温放电能力差,高温性能好,能量密度偏低;三元锂,高低温性能处于中上,能量密度高,寿命长,但相对安全性偏低。电芯选型,就是根据能量密度、功率密度、循环性能、成本限制等主要要求选择锂电池类型。电芯类型确定,热管理的热源计算参数才能确定。

热管理系统关心的电池参数包括:标称电压和电压范围,最大持续工作电流,能量密度,功率密度,电池内阻(新电池和寿命终了阶段)、热特性参数(等效比热容、等效热传导系数)

电池组设计信息

电池组由多少串并组成,等效连接电阻阻值,结构设计形式,可能的散热器布置形式。

电池包内结构布置

电池包箱体空间形状及尺寸,电池模组分布情形,高低压电缆走线位置。

系统最大发热功率(电池全生命周期、汽车全工况)

电芯、模组及电池包整体能够达到的持续最大功率及相应条件下的发热功率,电池寿命终点考虑各老化因素以后的持续最大发热功率,汽车运行工况中的最大发热功率和持续时间,汽车持续最高速运行的最大发热功率和持续时间。

另一个需要确定的需求,系统的最大发热功率,是否需要考虑热失控的情形。

应用极端环境(温度)

车辆目标销售地区的最高环境温度和持续时间,最低环境温度和持续时间。

电池包热管理目标

目标主要包括最高、最低工作温度范围和最大温差。

2 总体设计

总体设计,针对输入的需求,总体考虑冷却系统的框架。

根据系统发热功率密度以及密封性、允许温度范围、成本要求等,选择适合的冷却方式,初步确定散热器类型,加热方式。参考车辆预留空间,大体考虑设备的布置和固定方式。

案例冷系统方案框架

3 计算

锂电芯发热速率计算

人们根据对锂电池电化学反应过程的认识,通常把充放电过程中的热量划分成四部分:反应热、欧姆热、极化热和副反应热。对于新电芯,副反应热比例极小,可以忽略不计。但到了电池生命的后期,这种简化可能会带来较大偏差。

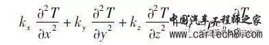
一个经过大量简化的模型如下面公式所示:其中,各项系数K表示锂电池在长宽高各方向上的导热系数,T为温度,q是电池单位体积的热生成率,ρ代表电池密度,cp为电池比热容,t为时间。

该模型简化了其他热传递模式,只保留在电池内部热传递的主要形式——热传导方式;热量只在电芯中心生成,与电芯的实际结构存在较大差异;系统参数,不考虑随温度变化而变化的情形,设定热传导系数和热容量为常数。对于各个方向上导热系数的取值,有一种思路是,按照电芯内各种组成材料的加权平均取值。

已经存在的大量针对锂电池电芯热模型的研究,有的考虑电芯卷绕或者层叠的实际物理形式,设置每层都是热源,层与层之间有热量传递的过程;有的详细描绘电芯内部不同组成部分的发热情形,并综合各种热源的作用,从电芯内部生热并在三维空间中进行传播的情形。

在设计散热器或者集热板的形式及其在电池模组中放置的位置时,电芯中具体哪个部位发热,哪个点温度最高,对设计结果有确定的影响。但在面对电池包热管理系统设计,单颗电芯产生的主要影响是产热量和产热速率。过多的细节反而占据计算资源。

下面需要计算前面公式中生热速率q,公式来自经典生热速率模型:

其中,V是电芯体积;I是电芯电流;T是电芯温度;R是电池内阻;U0对T的偏导数,是温度影响系数,在20 ℃~ 50 ℃范围,取常数0. 5 mv /k; I^2R表示欧姆热, U0对T的偏导数所在项表示电池可逆热。此生热速率模型,将生热速率与电池可以测量到的参数联系起来,便于实际应用。选取恒定电流值,则生热速率可以直接计算得到。

电池组发热量计算

电池模组内,除了电池单体内阻,还存在着连接电阻。单体电芯连接成电池组,电芯与连接导体的接触电阻和连接导体的自身电阻;电池模组与模组之间使用高压导线或者铜排铝排连接,存在接触电阻和导线内阻。通电过程中,以上电阻都会产生热量。对于连接形式相同的电池模组,可以通过整体内阻测量,或者根据经验给出估计值,在建立仿真模型时使用,后续再根据实验验证结果做出调整。

电池组的发热量,按照电池组内全部电芯的发热量总和,加上连接电阻发热量的总和计算。

单片散热器的选型和计算

散热器的形式多种多样,有平板散热器,热管散热器,相变材料组件,铝板复合热管散热器等等。根据单片散热器承担的散热量,设计散热器与电池组的接触面积和散热器与液冷回路的热交换面积。

散热器的接触面形状,需要根据电池单体的形状以及电池组内电芯的布置情形确定,一方面希望散热器获得与电池之间最大的散热面积,另一方面,不同位置的电芯需要保持与散热器具有相同的接触面积。

这里存在一个问题,距离冷却水管较近的电芯与较远的电芯相比,流经它的冷却液温度偏低,理论上可以通过调节不同位置的接触面积去抵消冷却液温升带来的影响。但这种设计在工程上的互换性太差,没有一定的批量,成本会显著上升。

下图是案例中蛇形管与圆柱形电池的匹配情况。

系统散热设计计算

根据应用环境和温度范围确定冷却液型号。电池包冷却系统内,总共使用了多少散热器,其散热能力之和,是对冷却液循环系统的最低要求。

根据此要求,选择循环系统管道尺寸和管道布置形式;确定散热器之间串并联关系,;确定冷却液的进出口温度、压力和流量;确定泵的扬程;确定制冷装置功率。

低温加热功率计算

总体思路是必须认识到,低温加热过程中实际在进行着两个热传递过程,一个是加热器给电池包全部部件加热,另一个是电池包箱体向周围环境散热。加热过程,电池包内部各种材质的部件,分别计算从低温加热至理想温度,需要多少热量;散热过程,在加热器加热的过程中,电池包箱体吸热温度上升,同时又在向周边环境散热,这是一个动态散热的过程,高温部分的温度连续上升,低温环境温度维持不变。散热过程主要以两种热传递方式进行,对流传热和热辐射。

电池包内部件的类型大体包含电芯、高低压导线,固定电芯用的结构件、冷却系统的散热器、冷却系统管路、电池箱体、电池管理系统BMS和传感器等。下表是案例作者对箱体内材料的大体分类。

计算电池包部件升温所需全部热量、箱体散发的热量之和,得到加热总体热量。再根据加热时间的具体要求,求得相应加热功率。

合理预热功率估计

此处预热是指,在低温气候下,车辆长时间停放,电池包及热管理系统的散热器、管路以、冷却液温度都极低,如果依靠锂电池自身的电量加热,一方面温度过低,可能低于电池允许放电的下限温度,根本无法实现供电加热;另一种情形,即使能够供电,系统内阻大且放电能力差,电池系统自身消耗大量的电能,而电量的消耗直接影响接下来的续航。为了应对这种情形,有设计人员考虑了预热策略。

电池包温度过低时,不允许电池包放电,同时要求车主接通外部电源,给电池包内的加热系统供电,车辆处于禁行状态。在预热过程中,冷却介质充满冷却回路,得以与电池包一起获取热量。待预热过程结束,车辆开始运行,电池自身会产生热量,维持电池包内的温度。这样,避免大量动力电池的电量被用于加热。只要预热时间不要拖延太长,对于用户体验的提升大有好处。

预热功率的计算,与前面低温加热的计算过程近似,但预热需要考虑冷却回路中充满冷却液的情形。

安装固定强度计算

电池包热管理系统,部分安装在电池包内部,部分直接安置在车身上。每个安装固定和结构设计都需要考虑自身强度和固定强度问题。考虑方式与电池包内的其他部件方法一致,本文不多做叙述。

参考

周庆辉,基于Fluent的锂离子动力电池的热分析;

车杜兰,电动汽车电池包散热加热设计;

王元哲,纯电动乘用车动力电池液冷热管理结构设计;

胡春姣,纯电动汽车锂离子电池模块设计及热特性分析;

闵德平,电池组结构设计及其热管理液流传热强化研究;

王子缘,基于高导热壳体的动力电池热管理系统设计与研究。

相关阅读: 消息类文章

分享到:

声明: 本网站为冲压和钣金业内信息集合和展示平台,欢迎不同的声音和观点,为行业人士提供参考,文章并不代表MFC的观点。书面刊用本站及MFC《金属板材成形》的原创文章,必须获得MFC的书面授权;电子平台转载,则必须注明作者和出处,对于盗版、冒名和不注明出处等行为以及由此产生的负面后果,MFC保留追究的权利。

我来说两句(共0条评论,0人参与)注册 登录 |

  • 最新评论
    暂无评论

品牌展厅365天全天候线上展厅

推荐专题

  • 一周热点
  • 月点击榜
 

微信公众号

冲压钣金门户

扫描或搜索关注